O grawitacji można powiedzieć, że stanowiła i nadal stanowi jedną z największych zagadek, które nurtują ludzką cywilizację. Owo zjawisko, które w naukowym ujęciu fizyki nigdy nie zostało wyjaśnione w sposób absolutny. Grawitacja istnieje niemal w każdym miejscu, ale potrafi przybierać najróżniejsze formy. I tak na przykład : w jaskiniach, gdzie przyciąganie ziemskie jest o wiele mniejsze, aniżeli na powierzchni Ziemi; w zbiornikach wodnych, gdzie na każdą rzecz oddziałuje siła wyporu, która skierowana jest pionowo do góry i równa się ciężarowi wypartej substancji ciekłej; i wreszcie w powietrzu, gdzie im jesteśmy na wyższym poziomie, tym przyciąganie staje się coraz mniejsze oraz na powierzchni Ziemi, gdzie przyciąganie odbywa się pionowo w dół.
We współczesnych encyklopediach odnaleźć można następującą definicję GRAWITACJI: "Grawitacja nazywana czasami ciążeniem powszechnym to jedno z oddziaływań podstawowych wyróżnianych przez fizykę. Oddziaływanie grawitacyjne jest zależne od masy posiadanej przez poszczególne ciała i od odległości między nimi. Oddziaływanie grawitacyjne jest dużo słabsze niż oddziaływanie elektromagnetyczne, czy słabe albo silne w skalach odległości z którymi mamy do czynienia na co dzień. Jednak ciążenie jako jedyne może wpływać na ciała bardzo od siebie oddalone. Grawitacja jest oddziaływaniem, które sprawia, że obiekty astronomiczne tworzą się z rozrzedzonych obłoków gazu wypełniających Wszechświat. Ciążenie powoduje zapadanie się tych struktur i powstawanie galaktyk, gwiazd i planet. W codziennym życiu ciążenie objawia się nam w postaci przyspieszenia ziemskiego. Jabłka oraz inne przedmioty spadają, bo działa na nie grawitacja. W skali astronomicznej ciążenie wyjaśnia, dlaczego planety krążą wokół Słońca, a Księżyc dookoła Ziemi. Grawitacja zawsze powoduje przyciąganie, a nigdy odpychanie. Grawitacja może utrzymać w równowadze tak burzliwe procesy jak reakcje termojądrowe w jądrze Słońca. W szczególnym przypadku ciążenie może spowodować zapadanie się gwiazd i powstawanie czarnych dziur. Najnowsze pomiary kosmologiczne wskazują, że Wszechświat rozszerza się coraz szybciej. W tej skali hipotetyzuje się na temat istnienia rzekomego odpychania, które mogłoby być silniejsze od przyciągania grawitacyjnego obiektów astronomicznych jednak nie wiadomo jakie mogłyby być źródła takiego oddziaływania, ani jaki ma charakter. Grawitacja w skali Wszechświata działa inaczej niż w naszym otoczeniu i współcześnie budowane modele kosmologiczne usiłują sprostać opisowi tych zagadnień. Fizycy podejmują próby stworzenia kwantowej teorii grawitacji, która będzie mogła wyjaśnić współczesne obserwacje kosmologiczne."
Greccy filozofowie, a także naukowcy próbowali odkryć prawidła rządzące zjawiskiem grawitacji. Już oni zaobserwowali, iż przedmioty wypuszczone z rąk, spadają na ziemię. Codziennie doświadczenie mówi nam, że obiekty cięższe znajdą się na ziemi wcześniej niż te lżejsze. Jeżeli zrzucimy z pewnej wysokości kulkę oraz piórko, to piórko spadnie później. Co więcej istnieją obiekty takie jak np. balony, które pozornie łamią prawo grawitacji unosząc się do góry. Podobne codzienne obserwacje przekonały greckiego filozofa Arystotelesa, że proces spadania jest zależny od natury przedmiotu. Pogląd ten zawarł w swoich dziełach dotyczących fizyki wydanych w latach 355-322 p.n.e. Starożytni w żaden sposób nie kojarzyli ze sobą opadania ciał na ziemi, z ruchami planet w "niebiosach". Zachowanie ciał astralnych opisywał model geocentryczny, który nie pozwalał na dostrzeżenie jakichkolwiek analogii pomiędzy przyciąganiem i torami ciał niebieskich. Istniało powszechne przekonanie, że ziemia i niebo rządzą się całkowicie odmiennymi prawami.
Pomimo to żadnemu z antycznych, nie powiodła się sztuka zrozumienia działania siły grawitacyjnej. Stało się to dopiero w XVII stuleciu, kiedy pewien człowiek - chociaż pochodził z ubogiej rodziny - zgłębił tajniki przyciągania ciał na Ziemi. Isaac Newton został odkrywcą ciążenia w świecie przyrody, opierając się na "słynnym zjawisku spadania jabłka". Zdaniem tego uczonego Ziemia przyciąga ów owoc jako pewną całość, co oznacza, że każdy z atomów Ziemi powoduje przyciąganie każdego pojedynczego atomu jabłka i na odwrót. Podobne zjawisko zaobserwować można w kosmosie, gdzie każde z ciał niebieskich przyciąga do siebie sąsiadujące z nim ciała. Jeśli by ciążenie nie istniało, wówczas cała nasza ziemska planeta, albo także inne planety powędrowałyby w bliżej nieokreśloną otchłań, inny wymiar...
W dniu 5 czerwca roku 1686 ukazało się dzieło Isaaca Newtona, w którym zaprezentował spoistą teorię grawitacji, która opisywała, tak spadanie obiektów na ziemi, jak też ruch ciał niebieskich. Brytyjski naukowiec bazował na zaproponowanych przez siebie zasadach dynamiki, a także prawach Johanesa Keplera, które dotyczyły odległości planety od Słońca.
![]() |
gdzie: R1,R2 - promienie orbit, T1, T2 - okresy obiegu planet.
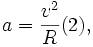
Zgodnie z rachunkiem wektorowym ciało poruszające się po okręgu jest poddane przyspieszeniu:
![]() |
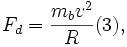
gdzie: a - przyspieszenie, v - prędkość, R - promień okręgu, co według drugiej zasady dynamiki oznacza, że musi działać na nie siła dośrodkowa:
![]() |
gdzie mb to masa bezwładnościowa ciała.
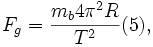
Przy ruchu planet ta siła dośrodkowa jest równa sile grawitacyjnej Fg. Prędkość orbitalna może być wyliczona jako:
![]() |
Jeżeli podstawimy zależność (4) do (3) to otrzymamy:
![]() |
Stosunek sił grawitacyjnych dla planet można rozpisać jako:
![]() |
Jeżeli teraz do równania (5) podstawimy (1) to pozbędziemy się okresów obiegu:
![]() |
Otrzymana zależność oznacza tyle, że stosunek sił grawitacyjnych jest proporcjonalny do odwrotności stosunku kwadratów odległości. Jeżeli planeta jest dwa razy dalej od Słońca, to siła grawitacji jest cztery razy mniejsza. Kiedy ciało ma dwa razy mniejszą masę, wtedy siła jest dwa razy mniejsza.
Newton uznał, że ta sama siła powoduje ruch planet po orbitach oraz spadanie jabłka z drzewa. W ten sposób ten wielki fizyk położył podwaliny pod mechanikę klasyczną. W tym ujęciu grawitacja jest siłą, z jaką oddziałują na siebie wszelkie ciała obdarzone masą. Prawo powszechnego ciążenia głosi, że:
Między dowolną parą ciał posiadających masy pojawia się siła przyciągająca, która działa na linii łączącej ich środki, a jej wartość rośnie z iloczynem ich mas i maleje z kwadratem odległości.
Matematycznie związek ten wyraża się wzorem:
![]() |
gdzie: G - stała grawitacji, m1,m2 - masy ciał, x - wektor łączący środki mas obu ciał, a r jest długością tego wektora, e^i=frac{x^i}{r} jest wektorem jednostkowym (ee = 1) łączącym środki mas obu ciał. Siła F = Fiei jest wektorem a jej wartość (długość tego wektora F = Fe) jest równa:
![]() |
Prawo Isaaca Newtona o "wzajemnym przyciąganiu się ciał" obowiązywało przez okres niemal 250 lat. Każdy sławny naukowiec, który żył i prowadził badania po tym sławnym uczonym opierał się na jego stwierdzeniach i tezach, aby poznać nieco więcej na temat zjawiska grawitacji. Sytuacja zmieniła się jednak z początkiem XX stulecia, kiedy opublikowane zostały słynne cztery prace naukowe, których autorem był Albert Einstein. To w nich zawarte było słynne zdanie : "Bóg nie gra w kości z Wszechświatem" - przez co autor chciał powiedzieć, iż wszystko na świecie podlega pewnym z góry określonym zasadom (prawom). Zgodnie ze słynną teorią względności Alberta Einsteina - ciało materialne powoduje zakrzywienie przestrzeni, co oznaczało by, iż ciało spada w jego kierunku. Takie innowacyjne myślenie zrewolucjonizowało poglądy na temat grawitacji. Z twierdzeń Alberta Einsteina można także wyczytać, iż nawet światło, które nie posiada masy jest poddane prawom grawitacji.
Równania zaproponowane przez Alberta Einsteina są niezwykle skomplikowane. Mają one charakter otwarty w takim sensie, iż geometria przestrzeni zależna jest od gęstości energii w badanych obszarach, z kolei ilość materii oraz jej przestrzenne rozmieszczenie (a zatem także i gęstość energii) zależna jest od geometrii. Równania Einsteina nie pozwalają traktować żadnej z tych wielkości jako bardziej podstawowej, co sprawia, że uzyskiwanie rozwiązań tych równań nie jest trywialne i zwykle możliwe jest jedynie dla wyjątkowo symetrycznych konfiguracji jak rozwiązanie Schwarzschilda z symetrią kulista i bez materii.
Rozwiązanie Schwarzschilda dla układu w próżni (np. poza gwiazdą) prowadzi do:
![]() |
gdzie r_g jest promieniem grawitacyjnym definiującym rozmiar horyzontu zdarzeń czarnej dziury.
W ujęciu ogólnej teorii względności postuluje się, że źródłem grawitacji jest tensor energii-pędu. Nawet cząstki pozbawione masy spoczynkowej (foton) doznają wpływu wynikającego z zakrzywienia przestrzeni a więc oddziałują grawitacyjnie. Generalnie, źródłem grawitacji są wszelkie postacie energii dające wkład do wyżej wymienionego tensora energii pędu: masy, gęstość energii promieniowania i ciśnienia. W szczególności wkład ciśnienia jest identyczny z wkładem masy czyli wzrost ciśnienia powoduje wzrost sił przyciągających nie zaś jak podpowiada nam intuicja, spadek.
W grawitacji, podobnie jak w każdym innym zjawisku można dostrzec i wskazać strony pozytywne, jak i negatywne. Gdyby ciążenie nie istniało, każdy człowiek ( nawet najgrubszy) mógłby z łatwością unieść się w powietrze; z drugiej jednak strony bez grawitacji i wzajemnego przyciągania ciał, Słońce już dawno temu zderzyło by się z Ziemią. Aby zapewnić bezpieczeństwo naszej cywilizacji i całemu światu, istota ludzka nie powinna zbytnio "mieszać się" w prawa występujące w fizyce i naukach chemicznych.










