Wojciech Pabieda
kl. 1j
I. Urządzenia wykorzystane w eksperymencie :
- adapter
- szpula z nicią
- wózek oraz kroplomierz
- taśma papieru położona na stoliku.

II. Przebieg eksperymentu :
Do wózka mocujemy kroplomierz, który wykorzystujemy do pomiaru czasu. Na taśmie papieru zaznaczamy oś S, która jest równoległa do toru. Ulokowany na torze wózek wprawiamy w ruch za pomocą adapteru. Na płycie adapteru lokujemy szpulę z nicią, która pociąga za sobą wózek. Krople z kroplomierza upadają na stolik w takich samych odstępach czasu, co jedną sekundę. Po pokonaniu przez wózek całego toru mierzymy odległość między kropelkami.
III. Wyniki :
|
Nr kropli
|
t(s)
|
s(cm)
|
∆s(cm)
|
|
0
|
0
|
0
|
0
|
|
1
|
1
|
7,0
|
7,0
|
|
2
|
2
|
14,1
|
7,1
|
|
3
|
3
|
21,0
|
6,9
|
|
4
|
4
|
28,1
|
7,1
|
|
5
|
5
|
35,0
|
6,9
|
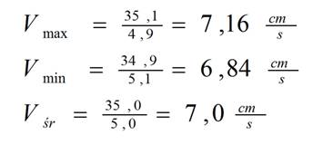
IV. Wyliczenia i wnioski:
Zmierzone odcinki ∆s są prawie takie same, zatem zbadamy ruch jest ruchem jednostajnym prostoliniowym.

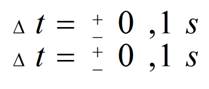
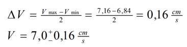
V. Niepewności pomiarowe :

VI. Wynik eksperymentu :

Wniosek : ruch jest ruchem jednostajnie prostoliniowym.
