Węglowodany, inaczej zwane cukrami, są związkami organicznymi wywodzącymi są od aldehydów lub ketonów, które posiadają dodatkowo grupy hydroksylowe (wodorotlenowe). Można zapisać ich wzór ogólny jako:
Cm(H2O)n
Podział ze względu na komplikacje budowy:
- monosacharydy
- oligosacharydy (dwucukty - disacharydy, trójcukry - trisacharydy itd.)
- polisacharydy
Cukry proste (monosacharydy)
Budowa
Związki te posiadają w swej budowie węgiel, wodór oraz tlen . Jak wspomniano wcześniej mogą posiadać grupę aldehydową, położoną w części terminalnej albo aldehydową, znajdującą się we wnętrzu cząsteczki.
Cukry proste posiadają od 3 do 7 atomów węgla, z tego względu dzielimy je na (Tabela 1):
|
Ilość atomów węgla
|
Ogólna nazwa grupy
|
Przykłady
|
|
3
|
triozy
|
aldehyd glicerynowy, dihydroksyaceton
|
|
4
|
tetrozy
|
treoza, erytroza
|
|
5
|
pentozy
|
ryboza, rybuloza
|
|
6
|
heksozy
|
fruktoza, glukoza, galaktoza, mannoza
|
|
7
|
heptozy
|
mannoheptuloza, sedoheptuloza
|
Tabela 1. Podział monosachorydów
Aldehyd glicerynowy (aldotrioza) tworzy 2 izomery optyczne (enancjomery):

Najbardziej znanymi i posiadającymi największe znaczenie w organizmie są heksozy glukoza i fruktoza:

Oprócz formy łańcuchowej przedstawienia sacharydów można używać wzorów Hawortha (postać pierścieniowa).
Przykłady wzorów tego typu dla pentoz i heksoz:


Podsumowując cukry mogą posiadać dwa rodzaje struktury:

Jeśli w cząsteczce jest n atomów węgla asymetrycznych, wówczas związek ten ma 2n/2 par enancjomerów, czyli 2n stereoizomerów.
Wszystkie cukry występujące w organizmie posiadają konfigurację D.
Własności fizyczne glukozy i fruktozy(Tabela 2)
|
Glukoza
cukier gronowy
|
Fruktoza
cukier owocowy
| |
|
Postać
|
Stała, krystaliczna
| |
|
Smak
|
Słodki
|
Bardziej słodka niż glukoza
|
|
Rozpuszczalność w wodzie
|
Bardzo dobra
| |
Tabela 2. Własności fizyczne glukozy i fruktozy
Właściwości chemiczne
- Mają właściwość przechodzenia formy łańcuchowej w pierścieniową. Dla D-glukozy proces ten przebiega następująco:

Postać pierścieniowa może zostać utworzona prze monocukry zawierające więcej niż 3 atomy węgla
w cząsteczce. Zamknięcie formy łańcuchowej łączy się z utworzeniem wiązania półacetalowego (hemiacetalowego) pomiędzy grupą wodorotlenkową przedostatniego atomu węgla a grupą aldehydową
lub ketonową. Cząsteczki pierścieniowe również tworzą izomery. W przypadku heksoz wyróżniamy dwa anomery (rodzaje cząsteczek różniące się położeniem grupy OH przy atomie węgla C1 glukozy lub C2 fruktozy) dla rodziny D: α, w którym grupa hydroksylowa leży pod płaszczyzną pierścienia i β, w którym grupa hydroksylowa leży ponad płaszczyzną pierścienia.
Obydwa anomery wstępują równocześnie w różnych ilościach. Ich obecność wpływa na własność fizyczną jaką wykazują cukry, a mianowicie: skręcalność właściwą. Przechodzenie jednej formy w drugą w celu ustalenia stanu równowagi nosi nazwę mutarotacji.
- Fruktoza w organizmach żywych może przekształcić się w glukozę
- Glukoza pod wpływem enzymów ulega fermentacji alkoholowej:

- Aldozy łańcuchowe w obecności utleniaczy takich jak Br2aq utleniają się do kwasów aldonowych. Poniżej przedstawiono taki proces dla glukozy:

- Silniejsze utleniacze takie jak HNO3 powodują utlenianie dwóch skrajnych grup funkcyjnych: aldehydowej i wodorotlenowej aldoz i tworzą się kwasy alwarowe (posiadające dwie skrajne grupy -COOH).
D-glukoza w takim środowisku tworzy w środowisku kwas glukarowy.
- Identyfikacja cukrów prostych:
- Węglowodany zawierające grupę aldehydową ulegają reakcji z odczynnikiem Tollensa według poniższego równania reakcji:

- ulegają reakcji z odczynnikiem Fehlinga, w wyniku czego katon Cu2+ zostaje skompleksowany z jonem winianowym
- ulegają reakcji z odczynnikiem Benedicta, w której jonem cytrynianowy komleksuje jony Cu2+

Otrzymywanie
Monosacharydy otrzymuje się przez hydrolizę związków bardziej złożonych.
Glukoza wytwarzana jest w organizmach roślinnych w procesie fotosyntezy (z udziałem chlorofilu, światła, dwutlenku węgla i wody):

Cukier ten jest substratem do produkcji pozostałych substancji odżywczych.
Występowanie:
- Fruktoza - w miodzie, cukrze
- Glukoza - w owocach, miodzie, cukrze
Zastosowanie glukozy:
- W przemyśle spożywczym
- Do produkcji witaminy C (farmacja)
- Do otrzymywania alkoholu etylowego
Dwucukry (disacharydy)
Budowa
Zbudowane są one z dwóch cukrów prostych połączonych wiązaniem glikozydowym. Ich wzór ogólny przedstawia się następująco:
C12H22O11
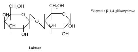
Przykłady disacharydów:


Otrzymywanie
Dwucukry powstają w wyniku kondensacji dwóch cukrów prostych. Poniżej przedstawiono otrzymywanie sacharozy:

Charakterystyka poszczególnych disacharydów (Tabela 3)
|
Nazwa dwucukru
|
Sacharoza
β-D-fruktofuranozylo-
α-D-glukopiranozyd
|
Laktoza
|
Maltoza
|
Celobioza
|
|
Nazwy monocukrów
wchodzących
w skład cząsteczki
|
β-D-fruktofuranoza
α-D-glukopiranoza
|
β-D-galaktopiranoza
α-D-glukopiranoza
|
α-D-glukopiranoza
β -D-glukopiranoza
|
2 cząsteczki
β-D-glukopiranozy
|
|
Rodzaj wiązania
|
α ,β-1,2-glikozydowe
|
β-1,4-glikozydowe
|
α-1,4-glikozydowe
|
wiązanie β-1,4
|
|
Właściwości
|
Nie redukujące
|
Redukujące
|
Redukujące
| |
|
Występowanie
|
W burakach i trzcinie
cukrowej
|
W mleku
|
w ziarnach zbóż
| |
|
Inne informacje
|
Ulega hydrolizie pod
wpływem inwertazy
|
Rozpada się na
monocukry
w wyniku
hydrolizy kwasowej
|
Otrzymuje się
ja z celulozy
przez hydrolizę
|
Tabela 3. Charakterystyka wybranych bisacharydów
Polisacharydy
Budowa
Wielocukry składają się z przynajmniej 11 cukrów prostych pomiędzy którymi występują wiązania glikozydowe. Ich wzór ogólny to:
(C6H10O5)n
Budowę poszczególnych polisacharydów zestawiono w Tabeli 4:
|
Wielocukier
|
Skrobia
|
Glikogen
|
Celuloza
|
|
Skład
|
Amylaza, rozpuszczalna
w wodzie - 20%
Amylopektyna, nierozpuszczalna
w wodzie - 80%
|
α-D-glukopiranoza
|
β-D-glukoza
|
|
Rodzaj wiązania
|
Wiązanie α-1,4 w amylazie
Wiązanie α-1,6 w amylopektynie
pomiędzy cząsteczkami glukozy
|
Wiązania α-1,4
|
Wiązanie β-1,4
|
|
Inne
|
Celuloza występuje w postaci helisy
pojedynczej lub podwójnej
|
Cząsteczki występują
w postaci rozgałęzień
|
Tabela 4. Budowa wybranych wielocukrów
Porównanie właściwości chemicznych węglowodanów (Tabela 5):
|
Wielocukier
|
Skrobia
|
Glikogen
|
Celuloza
|
|
Hydroliza
|
W wyniku działania
kwasu lub ptialiny
|
Ulega
|
Nie ulega
|
|
Inne
|
Pod wpływem temperatury
powstaje kleik skrobiowy
(roztwór koloidalny)
Jodyna powoduje powstanie
zabarwienia niebieskiego
|
Tworzy estry, np. z kwasem
azotowym (V) tworzy nitrocelulozę,
a z bezwodnikiem kwasu octowego octan celulozy
|
Tabela 5. Porównanie właściwości polisacharydów
Występowanie i zastosowanie (Tabela 6):
|
Polisacharyd
|
Glikogen
|
Celuloza (błonnik)
|
Skrobia
|
|
Występowanie
|
Występuje u człowieka
i zwierząt
jako substancja zapasowa
|
Wchodzi w skład w:
|
Jest substancja zapasową roślin
|
|
Zastosowanie
|
Używana w produkcji:
|
Tabela 6. Występowanie i zastosowanie polisacharydów
