Opracowanie
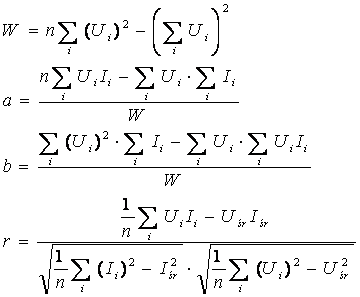
I. Dla każdej cewki narysować zmierzone charakterystyki prądu w funkcji napięcia, a następnie posługując się metodą najmniejszych kwadratów dopasować dane doświadczalne do funkcji liniowej I(U)=G*U. Dopasowane dane nanieść na wykresy.
Doświadczenie zostało przeprowadzone dla zakresu mierników: 2000mA, 20V
Liczba pomiarów których dokonałem dla poszczególnych cewek: n=24
Kolejne etapy opracowania danych dla poszczególnych cewek:
1.Na podstawie zmierzonych wartości I oraz U obliczam G=I/U
oraz
(wyliczenia te będą mi później potrzebne do policzenia parametrów prostej regresji).
2.
| | | | | | |
| | ![]() | | ![]() | | ![]() |
| |
3.
| | |
| | ![]() |
Gdzie a - współczynnik kierunkowy prostej
b - wyraz wolny
r - współczynnnik korelacji
4.
| | | | |
| | ![]() | | ![]() |
| |
Prąd Stały
Cewka1
1.
|
n
|
U[V]
|
I[A]
|
G[S]
|
U^2
|
I^2
|
I*U
|
|
1
|
0,5
|
0,016
|
0,032
|
0,25
|
0,000256
|
0,008
|
|
2
|
1
|
0,031
|
0,031
|
1
|
0,000961
|
0,031
|
|
3
|
1,5
|
0,048
|
0,032
|
2,25
|
0,002304
|
0,072
|
|
4
|
2
|
0,061
|
0,0305
|
4
|
0,003721
|
0,122
|
|
5
|
2,5
|
0,078
|
0,0312
|
6,25
|
0,006084
|
0,195
|
|
6
|
3
|
0,093
|
0,031
|
9
|
0,008649
|
0,279
|
|
7
|
3,5
|
0,11
|
0,031429
|
12,25
|
0,0121
|
0,385
|
|
8
|
4
|
0,122
|
0,0305
|
16
|
0,014884
|
0,488
|
|
9
|
4,5
|
0,14
|
0,031111
|
20,25
|
0,0196
|
0,63
|
|
10
|
5
|
0,155
|
0,031
|
25
|
0,024025
|
0,775
|
|
11
|
5,5
|
0,172
|
0,031273
|
30,25
|
0,029584
|
0,946
|
|
12
|
6
|
0,187
|
0,031167
|
36
|
0,034969
|
1,122
|
|
13
|
6,5
|
0,201
|
0,030923
|
42,25
|
0,040401
|
1,3065
|
|
14
|
7
|
0,216
|
0,030857
|
49
|
0,046656
|
1,512
|
|
15
|
7,5
|
0,233
|
0,031067
|
56,25
|
0,054289
|
1,7475
|
|
16
|
8
|
0,249
|
0,031125
|
64
|
0,062001
|
1,992
|
|
17
|
8,5
|
0,264
|
0,031059
|
72,25
|
0,069696
|
2,244
|
|
18
|
9
|
0,28
|
0,031111
|
81
|
0,0784
|
2,52
|
|
19
|
9,5
|
0,295
|
0,031053
|
90,25
|
0,087025
|
2,8025
|
|
20
|
10
|
0,311
|
0,0311
|
100
|
0,096721
|
3,11
|
|
21
|
10,5
|
0,327
|
0,031143
|
110,25
|
0,106929
|
3,4335
|
|
22
|
11
|
0,342
|
0,031091
|
121
|
0,116964
|
3,762
|
|
23
|
11,5
|
0,359
|
0,031217
|
132,25
|
0,128881
|
4,1285
|
|
24
|
12
|
0,38
|
0,031667
|
144
|
0,1444
|
4,56
|
|
Suma
|
150
|
4,67
|
0,747591
|
1225
|
1,1895
|
38,1715
|
2.
= 6,25 [V]
= 0,194583 [A]
= 0,03115 [S]
3. W = 6900 [
]
a = 0,031249 [S]
b = -0,000721 [A]
r = 0,9998975
= 0,000095389 [S]
= 0,000681 [A]
Cewka2
1.
|
n
|
U[V]
|
I[A]
|
G[S]
|
U^2
|
I^2
|
I*U
|
|
1
|
0,5
|
0,034
|
0,068
|
0,25
|
0,001156
|
0,017
|
|
2
|
1
|
0,068
|
0,068
|
1
|
0,004624
|
0,068
|
|
3
|
1,5
|
0,102
|
0,068
|
2,25
|
0,010404
|
0,153
|
|
4
|
2
|
0,137
|
0,0685
|
4
|
0,018769
|
0,274
|
|
5
|
2,5
|
0,17
|
0,068
|
6,25
|
0,0289
|
0,425
|
|
6
|
3
|
0,203
|
0,0676667
|
9
|
0,041209
|
0,609
|
|
7
|
3,5
|
0,237
|
0,0677143
|
12,25
|
0,056169
|
0,8295
|
|
8
|
4
|
0,273
|
0,06825
|
16
|
0,074529
|
1,092
|
|
9
|
4,5
|
0,305
|
0,0677778
|
20,25
|
0,093025
|
1,3725
|
|
10
|
5
|
0,338
|
0,0676
|
25
|
0,114244
|
1,69
|
|
11
|
5,5
|
0,373
|
0,0678182
|
30,25
|
0,139129
|
2,0515
|
|
12
|
6
|
0,407
|
0,0678333
|
36
|
0,165649
|
2,442
|
|
13
|
6,5
|
0,441
|
0,0678462
|
42,25
|
0,194481
|
2,8665
|
|
14
|
7
|
0,474
|
0,0677143
|
49
|
0,224676
|
3,318
|
|
15
|
7,5
|
0,509
|
0,0678667
|
56,25
|
0,259081
|
3,8175
|
|
16
|
8
|
0,544
|
0,068
|
64
|
0,295936
|
4,352
|
|
17
|
8,5
|
0,577
|
0,0678824
|
72,25
|
0,332929
|
4,9045
|
|
18
|
9
|
0,612
|
0,068
|
81
|
0,374544
|
5,508
|
|
19
|
9,5
|
0,647
|
0,0681053
|
90,25
|
0,418609
|
6,1465
|
|
20
|
10
|
0,683
|
0,0683
|
100
|
0,466489
|
6,83
|
|
21
|
10,5
|
0,72
|
0,0685714
|
110,25
|
0,5184
|
7,56
|
|
22
|
11
|
0,76
|
0,0690909
|
121
|
0,5776
|
8,36
|
|
23
|
11,5
|
0,796
|
0,0692174
|
132,25
|
0,633616
|
9,154
|
|
24
|
12
|
0,839
|
0,0699167
|
144
|
0,703921
|
10,068
|
|
Suma
|
150
|
10,249
|
1,6356714
|
1225
|
5,748089
|
83,9085
|
2.
= 6,25 [V]
= 0,427042 [A]
= 0,068153 [S]
3. W = 6900 [
]
a = 0,069051 [S]
b = -0,00453 [A]
r = 0,999812
= 0,000285 [S]
= 0,002039 [A]
Prąd Zmienny
Cewka1
1.
|
n
|
U[V]
|
I[A]
|
G[S]
|
U^2
|
I^2
|
I*U
|
|
1
|
0,5
|
0,0012
|
0,0024
|
0,25
|
1,44E-06
|
0,0006
|
|
2
|
1
|
0,0023
|
0,0023
|
1
|
5,29E-06
|
0,0023
|
|
3
|
1,5
|
0,0034
|
0,0022667
|
2,25
|
1,156E-05
|
0,0051
|
|
4
|
2
|
0,0043
|
0,00215
|
4
|
1,849E-05
|
0,0086
|
|
5
|
2,5
|
0,0052
|
0,00208
|
6,25
|
2,704E-05
|
0,013
|
|
6
|
3
|
0,006
|
0,002
|
9
|
0,000036
|
0,018
|
|
7
|
3,5
|
0,0069
|
0,0019714
|
12,25
|
4,761E-05
|
0,02415
|
|
8
|
4
|
0,0076
|
0,0019
|
16
|
5,776E-05
|
0,0304
|
|
9
|
4,5
|
0,0084
|
0,0018667
|
20,25
|
7,056E-05
|
0,0378
|
|
10
|
5
|
0,0091
|
0,00182
|
25
|
8,281E-05
|
0,0455
|
|
11
|
5,5
|
0,0098
|
0,0017818
|
30,25
|
9,604E-05
|
0,0539
|
|
12
|
6
|
0,0106
|
0,0017667
|
36
|
0,0001124
|
0,0636
|
|
13
|
6,5
|
0,0112
|
0,0017231
|
42,25
|
0,0001254
|
0,0728
|
|
14
|
7
|
0,0119
|
0,0017
|
49
|
0,0001416
|
0,0833
|
|
15
|
7,5
|
0,0126
|
0,00168
|
56,25
|
0,0001588
|
0,0945
|
|
16
|
8
|
0,0132
|
0,00165
|
64
|
0,0001742
|
0,1056
|
|
17
|
8,5
|
0,0138
|
0,0016235
|
72,25
|
0,0001904
|
0,1173
|
|
18
|
9
|
0,0144
|
0,0016
|
81
|
0,0002074
|
0,1296
|
|
19
|
9,5
|
0,0151
|
0,0015895
|
90,25
|
0,000228
|
0,14345
|
|
20
|
10
|
0,0156
|
0,00156
|
100
|
0,0002434
|
0,156
|
|
21
|
10,5
|
0,0162
|
0,0015429
|
110,25
|
0,0002624
|
0,1701
|
|
22
|
11
|
0,0168
|
0,0015273
|
121
|
0,0002822
|
0,1848
|
|
23
|
11,5
|
0,0173
|
0,0015043
|
132,25
|
0,0002993
|
0,19895
|
|
24
|
12
|
0,018
|
0,0015
|
144
|
0,000324
|
0,216
|
|
Suma
|
150
|
0,2509
|
0,0435038
|
1225
|
0,0032042
|
1,97535
|
2.
= 6,25 [V]
= 0,010454 [A]
= 0,001813 [S]
3. W = 6900 [
]
a = 0,001416 [S]
b = 0,001601 [A]
r = 0,996215
= 0,0000264 [S]
= 0,000188 [A]
Cewka2
1.
|
n
|
U[V]
|
I[A]
|
G[S]
|
U^2
|
I^2
|
I*U
|
|
1
|
0,5
|
0,0027
|
0,0054
|
0,25
|
7,29E-06
|
0,00135
|
|
2
|
1
|
0,0051
|
0,0051
|
1
|
2,601E-05
|
0,0051
|
|
3
|
1,5
|
0,0073
|
0,0048667
|
2,25
|
5,329E-05
|
0,01095
|
|
4
|
2
|
0,009
|
0,0045
|
4
|
0,000081
|
0,018
|
|
5
|
2,5
|
0,0108
|
0,00432
|
6,25
|
0,0001166
|
0,027
|
|
6
|
3
|
0,0125
|
0,0041667
|
9
|
0,0001563
|
0,0375
|
|
7
|
3,5
|
0,0142
|
0,0040571
|
12,25
|
0,0002016
|
0,0497
|
|
8
|
4
|
0,0159
|
0,003975
|
16
|
0,0002528
|
0,0636
|
|
9
|
4,5
|
0,0172
|
0,0038222
|
20,25
|
0,0002958
|
0,0774
|
|
10
|
5
|
0,0187
|
0,00374
|
25
|
0,0003497
|
0,0935
|
|
11
|
5,5
|
0,02
|
0,0036364
|
30,25
|
0,0004
|
0,11
|
|
12
|
6
|
0,0214
|
0,0035667
|
36
|
0,000458
|
0,1284
|
|
13
|
6,5
|
0,023
|
0,0035385
|
42,25
|
0,000529
|
0,1495
|
|
14
|
7
|
0,024
|
0,0034286
|
49
|
0,000576
|
0,168
|
|
15
|
7,5
|
0,0253
|
0,0033733
|
56,25
|
0,0006401
|
0,18975
|
|
16
|
8
|
0,0265
|
0,0033125
|
64
|
0,0007023
|
0,212
|
|
17
|
8,5
|
0,0277
|
0,0032588
|
72,25
|
0,0007673
|
0,23545
|
|
18
|
9
|
0,0289
|
0,0032111
|
81
|
0,0008352
|
0,2601
|
|
19
|
9,5
|
0,03
|
0,0031579
|
90,25
|
0,0009
|
0,285
|
|
20
|
10
|
0,0313
|
0,00313
|
100
|
0,0009797
|
0,313
|
|
21
|
10,5
|
0,0322
|
0,0030667
|
110,25
|
0,0010368
|
0,3381
|
|
22
|
11
|
0,0333
|
0,0030273
|
121
|
0,0011089
|
0,3663
|
|
23
|
11,5
|
0,0345
|
0,003
|
132,25
|
0,0011903
|
0,39675
|
|
24
|
12
|
0,0358
|
0,0029833
|
144
|
0,0012816
|
0,4296
|
|
Suma
|
150
|
0,5073
|
0,0896387
|
1225
|
0,0129456
|
3,96605
|
2.
= 6,25 [V]
= 0,021138 [A]
= 0,003735 [S]
3. W = 6900 [
]
a = 0,002767 [S]
b = 0,003846 [A]
r = 0,99508
= 0,0000587 [S]
= 0,00042 [A]
II. Na podstawie wyznaczonej konduktancji i admitancji obliczyć rezystancję zwojów cewki oraz jej reaktancję.
Mając daną konduktancję
obliczam rezystancję
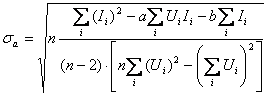
. Błąd bezwzględny wyznaczenia wartości G jest równy błędowi wyznaczenia współczynniki kierunkowego prostej
.
Zatem
Odpowiednio dla admitancji
reaktancja
,
.
Cewka 1:
= 32,1031 [
]
= 551,6759 [
]
= 0,0983 [
]
= 8,0198 [
]
Błąd względny:
0,3%
1,4%
Cewka 2:
= 14,6728 [
]
= 267,7415 [
]
= 0,0614 [
]
= 4,2102 [
]
Błąd względny:
0,4%
1,5%
III. Znając częstość zmian napięcia w sieci energetycznej oraz obliczoną reaktancję wyznaczyć współczynnik samoindukcji cewki L. Obliczyć tg przesunięcia fazowego oraz kąt przesunięcia fazowego prądu względem napięcia.
f = 50 [Hz]
= 314,1593 [Hz]
Indukcyjność L wyznaczam ze wzoru:
| | | | |
| | ![]() | | ![]() |
| |
| | | | |
| | ![]() | | ![]() |
| |
Cewka 1:
L = 1,753063 [H]
= 1,5125714 [Rad] = 86,7
Cewka 2:
L = 0,850967 [H]
= 1,515966 [Rad] = 86,9
| | |
| | ![]() |
Cewka 1:
= 0,02558 [H] Cewka 2:
= 0,01352 [H]
Błąd względny:
1,4%
1,6%










