Spis treści:
Zagadka matematyczna
Trwają wakacje, ale nie warto się rozleniwiać. Aby ćwiczyć mózg, można wybrać sudoku lub różne łamigłówki matematyczne. Wystarczy poświęcić na nie kilka lub kilkanaście minut w tygodniu. To niedużo w porównaniu do czasu, który wielu z nas spędza każdego dnia przed ekranami telefonów lub laptopów.
Sprawdź, czy potrafisz rozwiązać krótkie równanie:
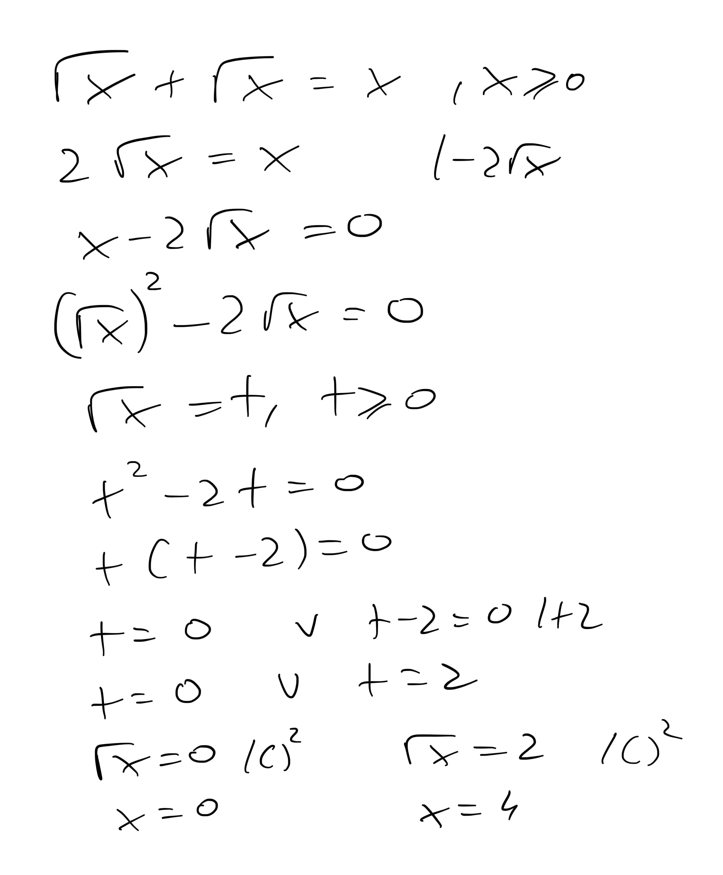
√(x) + √(x) = x
Raczej nie zrobisz tego w pamięci, więc lepiej przygotuj kartkę i długopis.
Przeczytaj również: Wyzwanie dla umysłów ścisłych. Wyliczysz w 15 sekund?
Matematyka jest królową nauk...
Stwierdzenie, że matematyka jest królową nauk, słyszał chyba każdy. Umiejętności matematyczne przydają się nie tylko na egzaminie ósmoklasisty i podczas matury. Proste rachunki są niezbędne w codziennym życiu. Tak jest na przykład podczas malowania mieszkania, gdy chcesz obliczyć, ile farby będziesz potrzebował. Dzięki temu nie kupisz jej ani za dużo, ani zbyt mało.
Matematyka pomaga też rozwijać umiejętności logicznego myślenia i rozwiązywania problemów. Wielu osób to nadal nie przekonuje do nauki matematyki. Z wywiadu z profesor Urszulą Oszwą można się dowiedzieć, czy lęk przed matematyką jest wymysłem, czy może realnym problemem uczniów.
Przeczytaj również: Zagadka na szybkie myślenie. Najlepszym wystarczy 5 sekund
Rozwiązanie zagadki matematycznej
Czasem krótkie zadania mogą nie być aż tak banalne, jak mogło się to wydawać na początku. Okazuje się, że to równanie ma dwa możliwe rozwiązania, czyli 0 oraz 4. Jeżeli ty masz inne wyniki, to polecamy sprawdzić obliczenia wykonane przez matematyka. Miłosz Tyralik, ekspert serwisu Skul.pl, rozpisał to w taki sposób:

Źródła: FB/Mathematics Expert/ Chidex Hosea, skul.pl, bryk.pl
Polecamy inne łamigłówki matematyczne:
Zagadka od Samuela Loyda. Podołasz łamigłówce wymyślonej ponad 100 lat temu?
Zamknij oczy i wylosuj, czyli zagadka z prawdopodobieństwa. Rozwiążesz?
Łamigłówka matematyczna. Wyliczysz w pamięci w 10 sekund?
