Człowiek od początku swego istnienia korzysta z energii promieni słonecznych, szybko też nauczył się wykorzystywać energię wody, czy wiatru do wytwarzania energii mechanicznej. Prawdziwy rozwój techniki przyniosło odkrycie energii elektrycznej i chemicznej. Korzyści z wykorzystywania tych energii wpłynęły na ogromne zmiany cywilizacyjne. Współczesny człowiek potrzebuje energii jak wody i trudno byłoby mu wyobrazić sobie życie bez oświetlenia, ogrzewania, urządzeń elektrycznych, telefonu, telewizji, itd. Dlatego też musi wciąż martwić się o pozyskiwanie energii oraz szukać nowych i bardziej wydajnych jej źródeł. Problemem Do dnia dzisiejszego głównym źródłem energii są surowce kopalne, takie jak węgiel, ropa naftowa i gaz ziemny. Niestety ich złoża nie są odnawialne i już przewiduje się niedługie ich wyczerpanie. Szuka się wciąż nowych sposobów na wytwarzanie energii. Rozpowszechniają się elektrownie wiatrowe, prądów morskich, geotermalne, a także baterie słoneczne i energia pozyskiwana z biomasy lub odpadów komunalnych. XX w. przyniósł wielkie nadzieje na zdobycie fenomenalnie wydajnego źródła energii, tzw. energii jądrowej, pochodzącej z rozszczepiania ciężkich jąder atomowych.
Badania prowadzone na przełomie XIX i XX wieku wykazały, że pierwiastki posiadające liczbę atomową powyżej 81, emitują promieniowanie. Na dodatek nie jest ono takie samo dla wszystkich pierwiastków, ale jest charakterystyczną własnością każdego z nich. Pierwiastki te nazwano promieniotwórczymi lub radioaktywnymi. Ich jądra mają dużą liczbę protonów i neutronów, cechują się tendencją do rozpadania się na dwa (bardzo rzadko 3 lub 4) lżejsze jądra innych pierwiastków (mają one inne masy atomowe lub masowe niż wyjściowe jądro). Rozpadowi towarzyszy emisja promieniowania alfa, beta lub elektromagnetycznego gamma - nowe jądra pozbywają się w ten sposób zbędnych im cząstek: protonów, neutronów lub elektronów. Stąd nazwa "promieniotwórczość". W zależności od przebiegu tych reakcji oraz ich efektów końcowych, wyróżniamy trzy rodzaje reakcji promieniotwórczych:
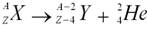
- rozpad a: w wyniku samoczynnego rozpadu powstaje atom o liczbie atomowej zmniejszonej o 4 oraz liczbie masowej zmniejszonej o 2. Promieniowanie pochodzi z kolei α, którą nazywana jest cząstka helu:

gdzie :
X - pierwiastek, który ulega rozpadowi
Y - pierwiastek, który powstaje w wyniku rozpadu
He - jądro atomu helu, cząstka a
A - liczba masowa pierwiastka
Z - liczba atomowa pierwiastka
- rozpad β: w wyniku samoczynnego rozpadu powstaje atom pierwiastka o tej samej liczbie atomowej, ale o liczbie masowej większej o 1. Promieniowanie pochodzi od cząstki β - którą może być elektron i antyneutrino elektronowe (rozpad β minus) lub pozyton i neutrino elektronowe. Ogólny schemat reakcji rozpadu przedstawiamy poniżej:

gdzie: e - elektron lub inna cząstka według objaśnień w opisie.
- wychwyt elektronu: jest to typ rozpadu β, polegający na tym, że: do jądra atomu wnika elektron z jego powłoki wewnętrznej i łączy się z jednym z protonów. W ten sposób powstaje neutron, a z jądra wyrzucone zostaje neutrino elektronowe.
- Rozszczepianie jąder atomowych - zachodzi, gdy jądro atomowe jest w stanie wzbudzenia. Wtedy też, jądro atomu rozszczepia się przeważnie na dwa mniejsze i lżejsze jądra, a reakcji tej towarzyszy emisja neutronów i promieniowania γ oraz ogromnej ilości energii.
Rozpadowi jąder atomowych sprzyja przewaga protonów lub neutronów, powodująca wzrost ich niestabilności. Dlatego też w promieniotwórczości wykorzystuje się głównie izotopy pierwiastków ciężkich. Przypomnijmy, że izotopy danego pierwiastka, to pierwiastki będące jego odmianą - o tej samej liczbie atomowej, ale rożnej liczbie masowej. Oznacza to, że izotopy różnią się od między sobą liczbą neutronów w jądrze. Od własności izotopu zależy również, czy wykazuje on naturalną promieniotwórczość czy nie, oraz jak długo i z jaką intensywnością następuje jego rozpad. Ważne jest również to, że w wyniku rozpadu często powstają jądra wzbudzone zdolne do dalszego rozpadu z emisją promieniowania γ, tak jak jest to w przypadku rozszczepiania jąder.
Ze względów energetycznych najbardziej interesujące jest rozszczepianie jąder, gdyż to właśnie tej reakcji towarzyszy emisja energii, którą człowiek spróbował okiełznać i zaczął wykorzystywać do własnych celów, rozwijając tzw. energetykę jądrową. Jednak w promieniotwórczości naturalnej, rozpad jąder rządzi się naturalnymi prawami - następuje samoczynnie i trwa w zależności od wielu czynników od zaledwie ułamka sekundy do nawet kilku milionów lat. Dlatego też człowiek znalazł sposób na wywoływanie rozpadów i kontrolowanie całego procesu. W tym celu powstały elektrownie jądrowe, w których przeprowadza się tzw. promieniotwórczość sztuczną.
Istotą tego rodzaju promieniotwórczości jest to, że jest ona wywoływana przez bombardowanie danego jądra np. neutronami, protonami, fotonami, mezonami, deuterami, kwantem promieniowania gamma, albo też innym jądrem tzw. jonem ciężkim. Odkrywcami promieniotwórczości sztucznej jest małżeństwo: Irena (córka Marii Skłodowskiej-Curie) i Frederic Joliot- Curie.
Rozszczepianie jąder pod wpływem zderzenia z cząstką bombardującą pierwiastek promieniotwórczy, zależy od energii, którą dostarcza cząstka. Opracowano specjalną wielkość fizyczną tzw. przekrój czynny dla pierwiastków promieniotwórczych - określającą prawdopodobieństwo rozpadu danego jądra w zależności od jego własności oraz energii bombardującej cząstki. Najłatwiej rozszczepianiu poddają się jądra następujących izotopów: 235U, 233U oraz 239Pu. Rozpadają się one pod wpływem neutronów o dowolnie małej energii (nawet bliskiej wartości zerowej). Natomiast pozostałe izotopy pierwiastków promieniotwórczych są już bardziej wymagające. Rozszczepienie ich jąder zachodzi dopiero po dostarczeniu im przez cząstki bombardujące energii wyższej od pewnej energii progowej. Poziom energii progowej jest zależny od właściwości izotopu. Przykładem takich atomów są: 232Th, 236U, 238U. Energia ta musi wystarczyć na wprowadzenie jądra atomu w stan wzbudzony lub jeśli już było wzbudzone do przejścia na wyższy poziom energetyczny i doprowadzenia go do stanu niestabilności, którego konsekwencją najczęściej jest rozpad jądra (lub emisja cząstki). Początkowe rozszczepienie jądra atomu może powodować jeden neutron. Jednak już w momencie rozpadu jądra, a niekiedy nawet w trakcie tej reakcji wyrzucane są tzw. wtórne neutrony. Jeżeli ich liczba przekracza liczbę neutronów, które zainicjowały cały proces, to bardzo prawdopodobne jest powstanie tzw. reakcji łańcuchowej. Wyemitowane cząstki powodują rozszczepianie się dalsze rozszczepianie się jąder, które powstały w wyniku pierwszej reakcji. Całość reakcji zachodzi samorzutnie i ma charakter kaskadowy, gdyż z każdym rozpadem przybywa cząstek zdolnych do inicjowania kolejnych rozszczepień. Aż do momentu, gdy powstaną jądra energetycznie stabilne, lub energia cząstek będzie zbyt słaba by je rozszczepić. Jest to zjawisko typowe dla reakcji jądrowych, zachodzi w sposób samorzutny, ale w reaktorach jądrowych w reaktorach elektrowni podlega ścisłej kontroli (w przeciwieństwie do bomb atomowych, gdzie reakcja łańcuchowa zachodzi bardzo chaotycznie). Reakcje jądrowe prowokowane przez człowieka zachodzą stosunkowo szybko - w czasie od 10-23s do 10-15s. Gdy porównamy masy substratów przed reakcją i masy produktów tej reakcji, to zauważymy tzw. ubytek masy. Okazuje się, że został on zamieniony na ogromną energię. Jest ona bliska 200MeV, a znaczna jej część - 180Mev przybiera postać energii kinetycznej powstających w czasie rozszczepiania cząstek. Energia wytworzona w czasie reakcji jądrowych powoduje zamianę wody w parę wodną, która napędza turbiny generatorów energii elektrycznej. Ilość powstałej w ten sposób energii wielokrotnie przewyższa wydajnością energię pozyskiwaną np. z surowców kopalnych. Dla porównania z jednego grama uranu 235U można otrzymać tyle samo energii co z 2,5 tony surowca takiego jak np. węgiel.
Chociaż wytwarzanie energii jądrowej nie powoduje bezpośredniego zagrożenia dla środowiska naturalnego, to jednak istnieje kilka ważnych powodów, dla których znacznie ograniczono ilość działających elektrowni jądrowych i rzadko buduje się nowe. Główne powody to: promieniotwórcze odpady i problem z ich bezpiecznym składowaniem oraz katastrofalne skutki awarii w elektrowniach. O czym świat przekonał się w roku 1986 w czasie awarii reaktora w Czarnobylu. Skażenie, które wtedy powstało było bardzo rozległe, a jego skutki do tej pory są widoczne w problemach zdrowotnych ludzi i zwierząt oraz ogólnym skażeniu środowiska naturalnego.
Dlatego też jeżeli chcemy uzyskiwać energię w drodze reakcji jądrowych, nie możemy szczędzić środków i starań w utrzymaniu najwyższego bezpieczeństwa w trakcie przeprowadzania tych procesów. Tak jak w elektrowniach cieplnych, przetwarzających energię cieplną z surowców kopalnych na energię elektryczną, główne procesy odbywają się w specjalnych kotłach, tak w elektrowniach jądrowych reakcje zachodzą w odpowiednikach kotłów - reaktorach. Reaktor jest "sercem" elektrowni i to głownie na jego odpowiednim zabezpieczeniu ciąży bezpieczeństwo całego zakładu. W reaktorze reakcje łańcuchowe, których przebieg jest na bieżąco kontrolowany i często ze względów bezpieczeństwa spowalniany.
Jako paliwo dla reaktorów stosuje się głównie tzw. pręty paliwowe, są to metalowe rury wypełnione granulowanym tlenkiem uranu. Około kilkuset prętów paliwowych trafia do reaktora na okres nawet do pięciu lat, aż do wyczerpania możliwości promieniotwórczych uranu.
Drugim ważnym elementem stosowanym w elektrowniach jądrowych jest tzw. chłodziwo - stosuje się głównie wodę. Są to substancje konieczne do intensywnego chłodzenia rozpalonego reaktora - czyli odbierania wytworzonej w nim energii. Chłodziwo transportuje energię do zbiorników z dodatkowym obiegiem wody (w elektrowniach dwuobiegowych) -która nie ma styczności z reaktorem, a po dostarczeniu jej energii wytwarza parę wodną. Ta z kolei kierowana jest na turbiny generatorów energii elektrycznej. W zależności od typu reaktora stosuje się różne chłodziwa oraz metody ich wykorzystywania. Chłodziwem oprócz wody może być także tzw. ciężka woda (w odróżnieniu od cząsteczki zwykłej wody posiada dwa atomy deuteru, czyli ciężkiego izotopu wodoru), powietrze, wodór, hel, albo też ciekłe metale - sód, potas i bizmut.
Wyróżniamy różne rodzaje reaktorów. Oto niektóre z nich:
- Tradycyjne reaktory lekko - wodne (LWR)
Paliwem dla tego reaktora jest uran sprasowany w formie tabletek i umieszczony wewnątrz prętów paliwowych.
Całość układu tworzą pręty paliwowe wraz z prętami przewodzącymi chłodziwo, którym w tym przypadku jest najczęściej woda. Spełnia ona również dodatkowa funkcję tzw. moderatora, który ma za zadanie spowolnić szybki ruch wydzielonych w reaktorze neutronów. Umożliwia to kontrolę reakcji łańcuchowych w reaktorze, prowadzoną również przy pomocy prętów sterujących, wykonanych z substancji pochłaniającej nadmiar neutronów.
- Najpopularniejsze reaktory wodno - ciśnieniowe (PWR bądź WWER )
W tych reaktorach rolę chłodziwa i moderatora spełnia również woda, ale poddana bardzo wysokiemu ciśnieniu. Taka jej postać zapewnia, że nie będzie ona nadmiernie parować w pobliżu reaktora, gdyż przy wysokim ciśnieniu (100-140 atmosfer) woda może ogrzać się nawet do 3000C, bez wrzenia. Umożliwia to zwiększyć wydajność reaktora, gdyż woda może jednorazowo odebrać od niego znacznie więcej energii, przez co możliwe jest szybsze zachodzenie reakcji jądrowych i wytwarzanie większej ilości energii. Wodór w wodzie służącej tu również jako moderator, pochłania duże ilości wyhamowywanych neutronów, przez co aby zapewnić dużą sprawność reakcji jądrowych, wzbogaca się paliwo uranowe w ok. 4% uranem 235U. Z kolei atutem stosowania wody jako moderatora jest to, że jej wydajność w tej roli umożliwia znaczne zmniejszenie rozmiarów rdzenia reaktora, przy równoczesnym zwiększeniu gęstości jego mocy nawet do 100MW/m3 - w odniesieniu do objętości rdzenia.
Praca reaktorów ciśnieniowych odbywa się w tzw. dwóch obiegach: pierwotnym i wtórnym. W skład obiegu pierwotnego wchodzą: reaktor, stabilizator ciśnienia oraz pompy do tzw. recyrkulacji. Natomiast obieg wtórny składa się z: również wytwornicy pary - gdyż spełnia ona funkcję ogniwa łączącego obydwa obiegi, turbiny parowej, skraplacza oraz układu, który odnawia proces podgrzewania wody krążącej w obiegach. Ogniwem łączącym oba obiegi, a zarazem zaliczającym się zarówno do jednego jak i drugiego, jest wymiennik ciepła ( czyli zbiornik, w którym wytwarzana jest para).
W obiegu pierwotnym wszystkie jego elementy są połączone rurociągami w od dwóch do sześciu pętli. Tak, aby zapewnić wydolność zarówno pomp obiegowych jaki i wytwornic pary. Wytwornice te mają specyficzną budowę - woda z obiegu pierwotnego przepływa przez rurki U - kształtne. Rurki te są ułożone poziomo w reaktorach typu WWER, a pionowo w reaktorach PWR. Układ tych rurek jest obmywany przez wodę, krążącą w obiegu wtórnym, która pod wpływem przekazanej jej energii intensywnie paruje. Woda obiegu wtórnego w przeciwieństwie do wody z obiegu pierwotnego nie jest poddawana wysokiemu ciśnieniu (byłoby to sprzeczne z jej przeznaczeniem). Rozgrzana i nasycona para wodna rozpędza turbiny wytwarzające prąd.
Prawidłowa praca całego układu reaktora jądrowego wodno - gazowego wymaga niezwykle precyzyjnej kontroli ciśnienia i temperatury wody zarówno w obiegu pierwotnym jak i wtórnym. Najistotniejsze jest utrzymywanie temperatury wody pierwotnej w granicach 300 - 3500C oraz ciśnienia przekraczającego wartość, przy której woda osiąga temperaturę nasycenia. Tę ogromnie ważną rolę kontroli i kompensowania warunków ciśnieniowych w obu obiegach spełnia stabilizator ciśnienia. Stosuje się tylko jedno takie urządzenie do wszystkich pętli układu. Stabilizator ciśnieniowy jest specjalnym zbiornikiem, ustawionym w pozycji pionowej i bardzo odpornym na zmiany jak również wysoki poziom ciśnienia. Do jego dolnej części dopływa bardzo gorąca woda prosto z reaktora, w której zanurzone są elementy grzejne (odpowiadające za rezystancję). Natomiast górna część stabilizatora, jest tzw. poduszką parową, do której dochodzą dysze natryskowe, chłodnej wody z obiegu pierwotnego. Wszelkie wahania równowagi ciśnienia w obiegu pierwotnym powodują pracę stabilizatora, który w zależności od sytuacji uruchamia albo elementy grzewcze, albo natryskowe.
"Sercem" reaktora jest jego rdzeń wraz z prętami regulującymi. Całość tego układu obudowana jest ciśnieniowym zbiornikiem reaktora o parametrach: materiał: stal ferrytyczna, albo stopowa; grubość ścian: do 200mm; zabezpieczenie antykorozyjne: wkładka ze stali nierdzewnej. Wewnątrz reaktora między jego ścinkami, a samym rdzeniem umieszcza się izolację termiczną z dodatkowego stalowego cylindra. Dzięki za wszystko temu osiąga się ogromną odporność zbiornika reaktora na ciśnienia rzędu 16MPa oraz korozję powodowaną przez "rozpaloną" wodę obiegu pierwotnego. Jedyne dojście do wnętrza reaktora stanowi górna pokrywa, która umożliwia dokonanie zmiany paliwa oraz wykonywanie remontów. Zapewnienie maksymalnego bezpieczeństwa eksploracji reaktora nakłada na jego konstrukcję znaczne ograniczenia. Wykonuje się go w całości i transportuje do elektrowni. Przez co nie może mieć on zbyt wielkich wymiarów (tym samym mocy), ale nie zawiera spawów, które bardzo łatwo byłyby niszczone przez korozję. Moc cieplną reaktorów typu gazowo - wodnego określa się na 3 000MW, a to pozwala na wytworzenie 1 300MW mocy elektrycznej.
Inne parametry tych reaktorów:
- sprawność elektrowni (netto) - ok. 33%
- wypalanie paliwa - ok. 30MWd/kg.
- Reaktory wodne wrzące (BWR)
Jest to typ reaktora, który umożliwia jednobiegowy system pracy całości układu. Chłodziwem jest w nim również woda, pod ciśnieniem ok. 7,0 MPa. Jednak zasadniczą różnicą między reaktorem wodnym wrzącym, a reaktorem wodnym ciśnieniowym jest to, że woda odbierająca od rdzenia energię nie jest transportowana poprzez obieg pierwotny do wytwornika pary, ale odparowuje bezpośrednio jeszcze w reaktorze, który spełnia również funkcję wytwornicy. Para zostaje poddana suszeniu, a następnie jest kierowana na turbiny. Ten rodzaj reaktora ma wiele zalet, gdyż brak konieczności stosowania dwóch obiegów, bardzo upraszcza cały układ, nie trzeba np. w porównaniu z reaktorem typu PWR, wytwarzać wysokich ciśnień wody pobierającej energię, a wiec i odporność zbiornika reaktora może być mniejsza. Zwiększa to jego bezpieczeństwo, a niekorzystnie odbija się jedynie na:
- mocy reaktora (do ok. 50MW/m3), gdyż musi on w sobie pomieścić również i parę wodną. Dlatego dla wyrównania mocy reaktora BWR z np. mocą reaktora PWR należy większych jego wymiary.
- Narażeniu na radioaktywność wszystkich głównych urządzeń, pracujących we wnętrzu reaktora.. Wymaga to zastosowania specjalnych osłon chroniących przed promieniowaniem, co z kolei wiąże się z utrudnieniem w obsłudze reaktora, gdyż jego elementy są niewidoczne spod tych osłon.
Inne szczegóły budowy reaktorów typu PWR:
- Reaktor musi być dostosowany również do zmian gęstości wrzącej w nim wody. Dlatego też wyrównywanie jego mocy oraz regulację reaktywności umożliwiają specjalne pręty , umocowane w dolnej części reaktora.
- Chłodziwo jest napędzane przy pomocy pomp recyrkulacyjnych, umieszczanych na zewnątrz reaktora oraz pomp pracujących wewnątrz - tzw. strumieniowe.
- Wytworzona para jest osuszana w specjalnym separatorze w górnej części reaktora. Jest to para nasycona, osiągająca przy ciśnieniu 7MPa wilgotność ok. 0,5% (odpowiada to temperaturze 2800C
Podobnie jak w elektrowniach z reaktorami BWR, sprawność elektrowni z reaktorami PWR waha się w granicach tylko 34%.
3a) Podtypem reaktorów wodno wrzących są lekkowodne reaktory kanałowe (RBMK).
Reaktory te wyróżniają się brakiem typowego zbiornika reaktora. Zastępuje układ wielu kanałów o małej średnicy, ale mieszczących w sobie po kilkanaście prętów paliwowych. Tak przygotowane kanały umieszcza się wewnątrz grafitowego rdzenia. Bardzo gruba warstwa grafitu (ok. 800mm) pełni podwójną funkcję, zarówno izolatora bezpieczeństwa biologicznego oraz reflektora wyemitowanych neutronów. W celu dodatkowego zabezpieczenia obudowuje się rdzeń zbiornikiem wodnym (warstwa o grubości 1200mm), całość dopełnia do grubości 2000mm zbiornik z betonu.
Mimo iż reaktory tego typu wydają się bezpieczniejsze ze względu na brak zbiornika ciśnieniowego, to jednak jest to złudne przeświadczenie. Co prawda taka budowa korzystnie wpływa na moc i wydajność reaktora, ułatwia również jego obsługę. Ale niestety z powodu skomplikowanej konstrukcji połączeń kanałów oraz ich wielości, reaktory te są podatne na awarie.
- Reaktory gazowo - grafitowe GCR
Są to reaktory z chłodziwem gazowym i moderatorem w postaci grafitu. Stosowanie tego typu reaktorów zapewnia duże bezpieczeństwo, gdyż są one bardzo niezawodne i nie mają skomplikowanej budowy. Wykorzystanie gazu jako chłodziwa, wyeliminowało problem konieczności podnoszenia ciśnienia chłodziwa, aby uniemożliwić jego wrzenie i przedwczesne parowanie. W przypadku gazu, nie jest to w ogóle potrzebne. Dlatego też moc reaktora jest ograniczana jedynie przez odporność jego materiałów konstrukcyjnych oraz własnościami paliwa. Do zalet należy dołączyć jeszcze, to że gaz tylko nieznacznie ulega napromieniowaniu. Wszystko to sprawia, że koszty elektrowni z tego typu reaktorem są stosunkowo niskie. Niestety jak wszystkie urządzenia, również i reaktor gazowo - grafitowy ma swoje wady. Należą do nich: gaz przejmując ciepło z reaktora znacznie się rozszerza, przez co potrzeba mocnych pomp do przetłaczania go przez rdzeń oraz dużych urządzeń, w których następuje wymiana ciepła. Dlatego też gęstość mocy tego reaktora ogranicza się do wartości 1MW/m3.
Podtypy reaktorów gazowo - grafitowych:
Reaktory magnoksowe - z chłodziwem w postaci dwutlenku węgla. W których jako paliwo stosuje się metaliczny uran, umieszczany w tzw. koszulkach z Magnoksu - stop magnezowy, od którego pochodzi nazwa reaktorów. Po raz pierwszy wybudowano je w 1956 roku w Wielkiej Brytanii i we Francji. Z kolei największe tego typu reaktory uruchomiono w 1971 roku, również w Wielkiej Brytanii (elektrownia Wylfa). Zbudowana jest z kilku bloków, z których każdy ma moc 590MW oraz sprawność 31,5%. W grafitowym rdzeniu reaktora paliwo wprowadzone jest poprzez specjalne kanały, a całość osłoniona jest sferycznym, betonowym zbiorniku. Chłodziwo - dwutlenek węgla ma ciśnienie rzędu 2,8 MPa. Gaz ten gdyby nie ograniczona do 4150C wytrzymałość Magnoksu, mógłby przyjąć o wiele wyższą temperaturę. Natomiast para otrzymana w wytwornicy ma temperaturę ok. 4000C przy ciśnieniu 5 MPa (służy do obiegu wtórnego). Wypalenie paliwa osiągane w reaktorach magnoksowych wynosi ok. 4,7 MWd/kg.
Reaktory zaawansowane gazowo - grafitowe AGR. Są to również reaktory gazowo - grafitowe, ale zamiast koszulek magnoksowych na paliwo zastosowano w nich koszulki z Zircaloyu - jest to rodzaj stali nierdzewnej. Dzięki temu chłodziwo(również CO2)może się ogrzewać aż do temperatury 6500C. Elektrownie oparte na tej technologii reaktorów stosują również turbiny takie jak w konwencjonalnych elektrowniach, gdyż para otrzymywana w wytwornicy ma aż 5650C i ciśnienie 16MPa. Ujemnym skutkiem tego zastosowania jest zbyt duże pochłanianie neutronów. I konieczne jest wzbogacanie paliwa o 2 - 3%. Pierwsza elektrownia z reaktorem AGR powstała w Wielkiej Brytanii w Dungeness, wytwarza ona energię elektryczną o mocy 1230 MW. Wewnętrzna średnica reaktora tej elektrowni wynosi 18,9m, sam rdzeń ma średnicę 9,1m i wysokość 8,3m. Wysokość reaktora sięga natomiast 17,7m, a grubość jego ściany to aż 5m. Wypalanie wynosi ok. 18 MWd/kg. Jest to elektrownia o stosunkowo wysokiej sprawności, sięgającej 41% oraz najtańszych w Wielkiej Brytanii kosztach wytwarzania energii elektrycznej.
- Reaktory wysokotemperaturowe (HTGR). To kolejny rodzaj reaktora gazowo - grafitowego, jeszcze bardziej ulepszony niż typ AGR, pod względem możliwości rozgrzania chłodziwa. W rdzeniu temperatura sięga aż 11000C. Umożliwia to zastosowanie grafitu, którego wytrzymałość mechaniczna rośnie proporcjonalnie do wzrostu temperatury. Taki rdzeń spełnia równocześnie funkcję moderatora i reflektora neutronów. Natomiast do jego chłodzenia stosuje się hel, charakteryzujący się obojętnością chemiczną i świetnymi możliwościami przekazywania energii cieplnej. Bardzo pieczołowicie przygotowuje się paliwo do tego typu reaktorów. Tak, aby zbyt słaba wytrzymałość obudowujących go materiałów nie ograniczała możliwości maksymalnego chłodzenia reaktora, a tym samym jego mocy. Paliwo dla reaktorów HTGR to wzbogacony aż do 93% uran, nie jest on jednak stosowany w czystej postaci, ale jako mieszanina węglika uranu UC2 i węglika toru ThC2. Tak przygotowana substancja jest granulowana w mikroskopijne kuleczki, następnie okrywane porowatym grafitem pizolitycznym i kolejno lity grafitem, węglikiem krzemu i ponownie litym grafitem już w postaci koszulki. Wszystkie granulki zostają ostatecznie wprasowane do grafitowej matrycy, o różnych kształtach.
Wszystkie wymienione cechy reaktorów HTGR sprawiają, że są one bardzo bezpieczne i niezawodne. W szczególności istotne jest czterowarstwowe zabezpieczenie reaktora: pokrycie granulek, gęsty grafit obudowujący matrycę z granulkami, ściana reaktora ze sprężonego betonu oraz zewnętrzna osłona bezpieczeństwa. Parametry reaktorów HTGR (na podstawie danych pierwsze tego typu elektrowni w Schmehausen z wykorzystaniem reaktora THTR - Thorium High Temperature Reactor). Moc elektryczna: 300MW. Obiegowość: dwa obiegi - pierwotny helowy oraz wtórny parowo - wodny. Wielkość matryc paliwowych - kule o średnicy 60mm. Wymiana paliwa: ciągła w trakcie pracy reaktora, w wyniku opadania kół paliwowych w miarę ich zużycia. Chłodziwo i jego maksymalna temperatura: hel - 7500C. Własności pary w wytwornicach: para o ciśnieniu 17,7 MPa, przegrzana do temperatury 5300C. Wypalanie: 113 MWd/kg.
Zastosowanie reaktorów HTGR - ze względu na bezpieczeństwo ich eksploatacji, mogą mieć szerokie zastosowanie nie tylko do wytwarzania energii elektrycznej, ale również, do wytopu surówki, chemicznej syntezy zgazowanego węgla, itp. Planuje się również zmodyfikowanie systemu elektrowni dwuobiegowych z reaktorem HTGR do jednobiegowych elektrowni również z reaktorem HTGR, ale z zastosowaniem wysokiej klasy turbin helowych, co może wpłynąć na podniesienie sprawności produkcji energii aż do 45%.
- Reaktory prędkie powielające FBR
To bardzo nowoczesny typ reaktorów, w których chłodziwem reaktora jest ciekły sód (nazwa całego reaktora - LMFBR). Ich cechą charakterystyczną są trzy obiegi chłodzenia reaktora:
- pierwotny - wykorzystujący sód radioaktywny
- pośredni - wykorzystujący sód nieaktywny
- wtórny - to obieg roboczy, parowo-wodny.
Współpraca dwóch obiegów sodowych umożliwia stosowanie wymiennika sód - sód. A bezpieczną izolację sodu radioaktywnego od obiegu pośredniego zapewnia utrzymywanie w obu obiegach niskiego ciśnienia. Zastosowanie sodu sprawia jednak dodatkowy kłopot w przypadku wyłączenia reaktora na jakiś czas - aby zapobiec zestaleniu się sodu trzeba cały czas podtrzymywać jego temperatur powyżej 980C.
Wyróżniamy dwa typy technologicznej konstrukcji reaktorów sodowych:
- basenowy, w którym wymienniki sód- sód oraz pompy zapewniające obieg miedzy nimi znajdują się w basenowym zbiorniku z ciekłym sodem. Z tego zbiornika prosto do wytwornicy pary wydostaje się sód z obiegu pośredniego. Po skropleniu powraca on z powrotem do basenu.
- pętlowy - każdy element obiegu pierwotnego znajduje się w osobnym zbiorniku.
Technologia elektrowni w oparciu o reaktory prędkie jest bardzo starannie badana i ulepszana. Wybudowano kilka dużych elektrowni na bazie reaktora sodowego - np. BN-600 uruchomiony w Biełojarsku w 1982 r. - typ basenowy, moc elektryczna 600 MW; Super Phenix uruchomiony w elektrowni Creys-Malville w 1985 r. (Francja), typ basenowy, moc elektryczna 1200 MW. Parametry reaktora Super Phenix: rdzeń składa się z ośmiu wymienników typu sód - sód oraz pomp obiegowych. Ochronę rdzenia stanowi zbiornik stalowy (stal austenityczna) w kształcie cylindra, o średnicy 21m. Para produkowana w wytwornicach ma temperaturę 4870C i ciśnienie 17,7 MPa. Wystarcza jej do napędzania dwóch turbin, których łączna moc wynosi 1200MW. Paliwo w 18% ma domieszkę z plutonu (Pu) i otoczone jest zubożonym UO2. Dodatkowo każdy pręt paliwowy otaczają również: środkiem - kawałki sprasowanego UO2 i PuO2, od góry i od dołu kawałki UO2. Wypalanie paliwa maksymalnie sięga 70 MWd/kg. Natomiast sprawność elektrowni z reaktorami sodowymi wynosi 40%.
Inne typy reaktorów, to np.: reaktory ciężkowodne ciśnieniowe PHWR, reaktory wodno - grafitowe LWGR.
Wielkie nadzieje na nowe i jeszcze bardziej wydajne źródło energii, wiąże się z energią wytwarzaną w czasie syntezy lekkich jąder atomowych w cięższe. Jest to jednak bardzo skomplikowany proces prowadzony na plazmie i jak na razie pozostaje na etapie badań. Póki jednak nie mamy jeszcze możliwości korzystania z tego fenomenalnego źródła energii, wiele krajów (31), produkuje część potrzebnej energii w elektrowniach jądrowych, stosując się ściśle do prawa atomowego, regulującego możliwość korzystania z tego typu technologii. Ogółem na świecie pracuje obecnie 437 rektorów jądrowych rozmieszczonych w 31 krajach - głównie w USA, Kanadzie, Francji, Niemczech, Japonii, Rosji, Szwecji i Norwegii. Łącznie produkują one 17% całkowitej światowej energii elektrycznej. W Polsce niestety nie wytwarza się energii jądrowej. Głównie z przyczyn społecznego sprzeciwu, który opiera się głównie na zbyt okrojonej wiedzy na temat najnowszych technologii energetyki jądrowej, stosowanych przez nią zabezpieczeń, korzyści dla środowiska naturalnego oraz obniżenia kosztów produkcji energii elektrycznej.
Wady i zalety elektrowni atomowych:
ZALETY:
- brak emisji spalin zanieczyszczających środowisko
- wysoka wydajność paliw jądrowych
- dużo mniejsze koszty produkcji energii
- coraz lepsze systemy bezpieczeństwa
- wysoka kontrola poprawności budowy i pracy elektrowni jądrowych, regulowana dodatkowo tzw. prawem atomowym.
WADY:
- konieczność składowania radioaktywnych odpadów po produkcyjnych, których aktywność może trwać nawet miliony lat
- ryzyko tragicznych skutków wystąpienia awarii: choroby popromienne, ogólne skażenie środowiska naturalnego,
Wysokie koszty zakończenia pracy elektrowni jądrowych oraz ich rozbiórki, bez szkody dal ludzkiego zdrowia i środowiska naturalnego.
Promieniowanie jonizujące ma również szerokie zastosowanie poza elektrowniami:
1. W przemyśle:
Wykorzystuje się skutki oddziaływania promieniowania na daną materię. Zależą one bezpośrednio od cech tej materii. Dzięki tej własności wytwarza się wiele urządzeń, które w przemyśle mają ogromne znaczenie dla jakości i wytrzymałości wytwarzanych produktów - np.: mierniki grubości, poziomomierze, gęstościomierze, defektoskopy, analizatory składu danej substancji, itp. Przy pomocy tych urządzeń ogólnie określanych jako aparatura radiometryczna, można dokładnie określić skład materii, występujące w niej defekty, nierówności grubości, zanieczyszczenie niepowołanymi związkami, nawet określić zawartość azotu w nawozach sztucznych, itp. Szeroko stosuje się radiografię do barwienia szkła, kamieni i tkanin, budowy czujników na dym, a także do badania substancji w różnych stanach skupienia tzw. metodą znaczników promieniotwórczych. Istotne znaczenie ma dla niej to, że własności oraz reakcje wszystkich izotopów danego pierwiastka są identyczne, zachodzi to również dla izotopu promieniotwórczego i badanego nim pierwiastka. Bez problemu określa się również jego położenie w danym materiale. Metodę te stosuje się gównie do detekcji wad oraz nieszczelności materiału. Została ona jeszcze bardziej sprecyzowana i udoskonalona jako neutronografię. Stosuje się również mikroradiografię, radiografię protonową i dynamiczną.
2. Rolnictwo i przemysł spożywczy
Metody radiacyjne w przemyśle spożywczym i rolnictwie, pomagają usprawnić niektóre produkcje, poprzez eliminację kilku jej etapów, których nie można pominąć w tradycyjnych metodach produkcyjnych. Istotne jest również idące z tym w parze obniżenie kosztów produkcji oraz znaczne lub całkowite wyeliminowanie zanieczyszczeń środowiska towarzyszących "starszym" technologiom.
W rolnictwie i przemyśle spożywczym metody radiacyjne ułatwiają poszukiwanie źródeł wody, badania skażeń rzek, i inny zbiorników wodnych, a także zwalczanie szkodników i pasożytów - czyli po prostu dezynsekcja w ziarnie zbóż, warzywach strączkowych i suszonych owocach; hamowania kiełkowania np. ziemniaków i cebuli; opóźnianie dojrzewania np. owoców. Przede wszystkim radiację stosuje się do utrwalania przydatności wielu produktów oraz ich higienizację - wyeliminowanie pasożytów i bakterii np. z mięsa, przypraw, świeżych i mrożonych rybach, paszach, itp. W krajach takich jak USA, Wielka Brytania czy Holandia wykonuje się również radiacyjną sterylizację żywności, z przeznaczeniem dla osób na ścisłej diecie przy znacznym osłabieniu odporności organizmu. Takie napromieniowanie żywności nie powoduje jej rakotwórczości, ani żadnej innej toksyczności. Wręcz przeciwnie nie narusza ono wartości odżywczych ani białek, ani węglowodanów, ani tez tłuszczów. Podobnie jak termiczna obróbka żywności radiacja znacznie zmniejsza w niej ilość witamin, ale także bakterii, pleśni, drożdży i innych mikroorganizmów, które wpływają na szybsze psucie się żywności, a czasem także niestrawności, a nawet zatruć pokarmowych. Dla osób o osłabionej odporności immunologicznej nie wysterylizowanie szkodliwych mikroorganizmów może być nawet bardzo niebezpieczne. Żywność poddana obróbce radiacyjnej podlega szczegółowemu oznaczeniu na opakowaniu.
3. Geologia i archeologia
W geologii i archeologii metody radiacyjne mają nieocenioną wartość badawczo- naukową. Stosuje się głównie metodę datowania jądrowego, która pozwala na wiarygodne ustalenie bezwzględnego wieku materiałów geologicznych oraz znalezisk archeologicznych poprzez badanie ich promieniotwórczości, a także wchodzących w ich skład izotopów. Porównując ilość izotopów stabilnych w danym obiekcie do izotopów promieniotwórczych możemy poznać jego historię.
Ogólnie metody datowania przy pomocy izotopów radioaktywnych dzielimy na:
- metody analityczne - są to chemiczne sposoby oznaczania izotopów macierzystych zawartych w danej substancji oraz produktów powstałych w czasie ich rozpadu. Metody te stosuje się np. do datowania skał.
- metody spektrometryczne - pozwalają określić dokładny skład izotopowy danej substancji.
- metoda węgla 14C - stosowana głównie w archeologii. Bada zawartość promieniotwórczego węgla 14C w skamielinach, kościach innych obiektach archeologicznych. Metoda opiera się na tym, że węgiel 14C powstaje w wyniku oddziaływania promieniowania kosmicznego na górne warstwy atmosfery Ziemi. Następnie ten promieniotwórczy pierwiastek przenika do organizmów żywych. Jednak po ich śmierci absorpcja węgla 14C zostaje zatrzymana i następuje jego powolny rozpad. Znamy jego czas połowicznego rozpadu - 5730 lat, i dzięki temu gdy określimy ile jeszcze węgla 14C zostało w danym obiekcie archeologicznym, to pozwoli nam to bardzo dokładnie określić czas śmierci tego organizmu.
- metoda potasowo-argonowa, uranowo-ołowiowa i ołowiowa - są stosowane w mineralogii, do określania wieku minerałów w przedziale: kilkadziesiąt milionów - kilka miliardów lat. Metoda argonowa - mierzy w minerale stosunek ilości stabilnego izotopu 40Ar do ilości promieniotwórczego izotopu 40K. Należy pamiętać, że izotop badanego argonu powstaje z rozpadu dokładnie drugiego badanego pierwiastka , czyli 40K i że czas połowicznego rozpadu tego ostatniego wynosi 1,28 mld lat. Dzięki odpowiedniemu porównaniu wszystkich wielkości otrzymamy określenie - kiedy dany minerał się skrystalizował. Metoda uranowo - ołowiowa: analogicznie jak w poprzedniej metodzie, ale z wykorzystaniem izotopów 238U (czas połowicznego rozpadu dla tego uranu wynosi 4,5 mld lat) oraz stabilnego ołowiu 206Pb. Metoda ołowiowa: bada stosunek ilości izotopów 206Pb oraz 208Pb o charakterze stabilnym do ilości pierwiastków, z których powstały w wyniku rozpadu, tj. 238U oraz 232Th. Gdzie czas połowicznego rozpadu dla podanego uranu wynosi 4,5 mld lat, a dla toru 14,1 mld lat. Metoda helowa: jest stosowana jako pomocnicza przy metodzie ołowiowej. Wynika to z faktu, że wraz z uranem i torem o charakterze radiogenicznym występuje również radiogeniczny hel. Możemy datować wiek skał obliczając stosunek ilości helu w niej zawartego do ilości uranu i toru. Jednak metoda ta wykorzystywana samodzielnie bez potwierdzeni metodą ołowiową, może prowadzić do dużych błędów, które wynikają z możliwości wypromieniowania helu ze skał lub dodatkowej jego absorpcji ze starszych pokładów skał.
4. Ochrona środowiska
Zadziwiający jest fakt, że promieniowanie jądrowe samorzutne i chaotyczne powoduje skażenie i długotrwałe napromieniowanie środowiska naturalnego. Ale odpowiednio przetworzone i użyte w świadomy, i zorganizowany sposób może przynieść wiele korzyści dla środowiska. Techniki radiacyjne znalazły swoje zastosowanie również i w dziedzinie ochrony środowiska. Jako narzędzia do wykrywania i lokalizowania skażeń wody, gleby i powietrza. Do określania składu i zmian poziomów zalegania smogu miejskiego. A nawet do oczyszczania gazów wydobywających się z instalacji wydechowych procesów spalania. Gdy skierujemy wiązkę elektronów na zanieczyszczone powietrze, to w efekcie zredukujemy znaczna część zanieczyszczeń - skuteczność względem dwutlenku siarki wynosi 95%, a względem tlenków azotu 80%. Jak to jest możliwe? Cząstki gazu zostają wzbudzone przez promieniowanie elektronami, powoduje to utlenianie SO2 i NOx, które reagując z parą wodną z powietrza przekształcają się w kwasy. Kwasy te można w prosty sposób zneutralizować amoniakiem. A co najważniejsze, otrzymane w ten sposób ciało stałe nie jest odpadem, ale pełnowartościowym i powszechnie używanym nawozem sztucznym. Proces redukcji zanieczyszczeń w gazach można bez problemu kontrolować i w zależności od potrzeb niwelować dany związek z większym lub mniejszym nasileniem. Jest to możliwe, gdyż wydajność SO2 podnosi się, gdy maleje temperatura, a wydajność NOx ma tendencje odwrotne. Ważne jest również to, że przeprowadzanie procesów oczyszczania gazów nie wymaga dużego zużycia energii, szczególnie w przypadku SO2. Metoda usuwania ze spalin przemysłowych dwutlenku siarki i tlenków azotu przy pomocy wiązki elektronów była opracowywana zarówno w Japonii jak i w Polsce. I jako jej pomysłodawcę i twórcę uznawany jest Instytut Chemii i Techniki Jądrowej w Warszawie. Główna idea tej bardzo skutecznej metody, tkwi w przyspieszaniu procesu wiązania tlenków siarki i dwutlenku węgla długotrwały z amoniakiem. Zjawisko to pod wpływem strumienia wiązki elektronowej zachodzi w sposób kontrolowany dużo szybszy niż w naturalnych warunkach. Polska prowadziła testy tej instalacji w Elektrociepłowni Kawęczyn, gdzie sprawdziły się przypuszczenia i wyniki poprzednich badań, a także wprowadzono wiele nowoczesnych rozwiązań technologicznych. Jako pierwszą w Europie, a drugą na świecie - wybudowano instalację oczyszczania gazów przemysłowych w Elektrociepłowni "Pomorzany" w roku 2001r. gdzie z powodzeniem działa i przynosi nieocenione korzyści dla ochrony środowiska i zdrowia człowieka. Następne lata przynoszą kolejne takie inwestycje w Polsce i na świecie, gdzie polska technologia zyskała szerokie poparcie i uznanie. Polska stacja instalacji pilotowej w Elektrociepłowni Kawętrzyn została nagrodzona złotym medalem z wyróżnieniem przez jury 44-ej Światowej Wystawie Wynalazków "Eureka" odbywającej się w 1995 roku w Brukseli.
Dodatkowe zalety zastosowania nowej metody oczyszczania gazów, to niższe o 20% koszty inwestycji i utrzymania w porównaniu z tradycyjnymi metodami oraz o 20% niższe wymagania powierzchniowe. Co ma szczególne znaczenie w przypadku instalacji na już pracujących kotłach.Potwierdzono również doświadczalnie sprawdzanie się nowej technologii w oczyszczaniu gazów emitowanych przez huty miedzi oraz spalin wytwarzanych w czasie spalania węgla z wysokim udziałem siarki. Wprowadzono także w użycie metodę oczyszczania gazów przy pomocy wiązki elektronowej w połączeniu z mikrofalami. Również i ona zyskała popularność i zainteresowanie inwestorów.
5. Medycyna
Promieniowanie jonizujące znalazło wielkie zastosowanie w radioterapii zmian i chorób nowotworowych. Powszechnie znanej pod potoczną nazwą "naświetlanie", gdyż zjawisko bombardowania komórek rakowych wiązka promieniowania jest istotą radioterapii. Obecnie jako substancji promieniotwórczej używa się głównie sztucznie wytwarzanego kobaltu 60Co, a czasami cezu 137Cs. Okres półrozpadu kobaltu 60Co wynosi 5,3 lat, co wpływa na konieczność jego wymiany w urządzeniach medycznych.
Urządzenia i metody radiacyjne w medycynie:
- tzw. bomba kobaltowa (czasem, ale coraz rzadziej cezowa). Urządzenie to zyskało swą nazwę głównie ze względu na kulisty kształt, który stanowi ochronę przed umieszczonym wewnątrz kobaltowym źródłem promieniowania o wielkiej aktywności (do kilkuset TBq). Bomba kobaltowa wytwarza wiązkę promieniowania, którą można precyzyjnie manipulować, aby jak najdokładniej naświetlać chory obszar ludzkiego ciała. Napromieniowywanie wykonuje się z odległości 0,7 - 1,0 m.
- tzw. aplikatory izotopowe (z radem lub kobaltem), w postaci małych zamkniętych źródeł promieniowania. Stosowane są do napromieniowywania wewnętrznego, głównie w przypadkach nowotworów narządów rodnych.
- tzw. plakietki do leczenia nowotworów skóry - są one źródłem promieniowania β z pierwiastków takich jak: stront 90Sr oraz fosfor 32P. Ilość i rodzaj danej substancji oraz wielkość powierzchni skóry poddanej napromieniowywaniu jest dostosowywana do indywidualnego przebiegu i zaawansowania choroby pacjenta.
- brachyterapia - jest to rodzaj terapii, która polega na umieszczaniu wewnątrz ciała pacjenta źródeł promieniowania (typ oczywiście zamknięty). Wykonuje się również wszczepianie takich źródeł nazywanych radionuklidami bezpośrednio do wnętrza nowotworu. Radionuklidy mają kształt maleńkich grudek, ziarenek lub drucików i zawierają głównie itr 192Ir.
- Radiofarmaceutyki - są to leki, które, ze względu na swe właściwości izotopowe SA rozpoznawane przez organizm ludzki i automatycznie przesuwane do chorego organu lub zmienionej chorobowo tkanki. Np. promieniotwórczy izotop jodu się powszechnie w leczeniu raka tarczycy.
- liczniki całego ciała - jest to urządzenie do badania poziomu wewnętrznego skażenia promieniowaniem. W czasie badania pacjent przebywa w specjalnie zabezpieczonej komorze, w której detektory mierzą emitowane przez jego ciało promieniowanie. Badanie jest bezpieczne ze względu na małe ilości stosowanych izotopów i eliminowanie przez komorę tła promieniowania. Licznik całego ciała wyrywa również promieniowanie izotopów np. potasu 40K, którego emisja jest naturalną własnością ludzkiego ciała, wynikającą z zawierania małych ilości izotopów naturalnych.
Przydatność radioterapii w medycynie nie podlega najmniejszej wątpliwości, bez jej zastosowania najprawdopodobniej wiele milionów ludzi nie pokonałoby chorób nowotworowych. Rocznie na całym świecie samych zabiegów radioterapii wykonuje się ok. 5 mln. Na 0,4 mln szacuje się roczne zapotrzebowanie na radiofarmaceutyki.
Po tragedii zrzucenia bomb na Hiroszimę i Nagasaki, wiele tysięcy osób zapadło na choroby popromienne. Ich leczenie, a przede wszystkim rozpoznanie chorób wymagało zastosowania tzw. źródeł otwartych promieniowania. W ten sposób powstała nowa dziedzina medycyny - medycyna nuklearna. Odgrywa ona ogromne znaczenie w diagnostyce wielu chorób oraz ich terapii. Substancje promieniotwórcze stosuje się głównie w metodzie atomów znaczonych, będącej podstawą techniki scyntygrafii izotopowej. Polega ona na tym, ze do ciała pacjenta wprowadza się odpowiedni izotop promieniotwórczy. (Izotopy danych pierwiastków są transportowane przez organizm do odpowiadającym im pod względem chemicznym narządów). Izotop w czasie przemieszczania się we wnętrzu ludzkiego ciała wysyła promieniowanie. Szczególne znaczenie ma emisja promieniowania z rozpadu w chorym narządzie, gdyż własności tego rozpadu, a więc i towarzyszącemu mu promieniowania zależą bezpośrednio od rodzaju zmian chorobowych. W ten sposób bada się choroby, a także funkcje i fizjologię pracy różnych narządów wewnętrznych (np. tarczyca, nerki, serce). Jednak tego typu badania wiążą się z napromieniowaniem ciała pacjenta. Dlatego tez, aby jak najbardziej skrócić czas jego promieniotwórczości w medycynie nuklearnej stosuje się tylko izotopy o bardzo krótkim czasie promieniotwórczym - np. 131J, 122J, 18F, 58Ga. Przełomowe stało się zastosowanie izomerów jądrowych ( 137Ba, 99Tc i 113In), głównie technetu i indu, gdyż mają one bardzo krótkie okresy półrozpadu - technet 6godzin, a ind 99 minut. Gwarantują one bardzo krótki czas narażania pacjenta na napromieniowanie. Wymaga to jednak wytwarzania ich bezpośrednio przed zabiegiem i już na miejscu w szpitalu. Stosuje się do tego tzw. generatory u użytkownika. Najpierw na miejsce dostarcza się izotopy o dłuższym czasie rozpadu, np. molibden (87 godzin) lub cynę. W wyniku reakcji jądrowych, które zachodzą w generatorach samoczynnie powstają wykorzystywane w zabiegach izotopy krotko - życiowe. I tak z molibdenu powstaje technet, a z cyny ind. Natomiast pozostałe produkty rozpadu, wydziela się i neutralizuje metodami chemicznymi.
