Od których zadań warto zacząć pisanie matury z matematyki?
Odpowiedź na to pytanie jest prosta. Najlepiej zacząć od tych zadań, które wiemy, że potrafimy rozwiązać i od tych, których rozwiązanie wymaga niewiele czasu. Wówczas jeśli udzielimy poprawnych odpowiedzi, to w ciągu kilku lub kilkunastu minut, możemy mieć już "w kieszeni" gwarantujące zdanie matury 14 punktów oraz dużo czasu na zajęcie się zadaniami, które wymagają dłuższego zastanowienia.
Przeczytaj również: Jak zdać maturę z matematyki? Przydatne wskazówki
Najszybsze do rozwiązania zadania na maturze z matematyki
Na przykładzie arkusza matury z 2021 roku przedstawiamy typy zadań, których rozwiązanie zajmuje niecałą minutę. Sprawdź, ile zajmie ono tobie i zobacz, jak szybko możesz zdobyć pierwsze punkty. Poprawne odpowiedzi wraz z obliczeniami znajdziesz pod artykułem.
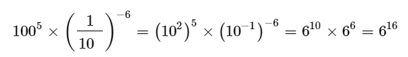
Proste działania na potęgach

W takim zadaniu potrzebna będzie jedynie znajomość kolejności wykonywania działań i umiejętność rowiązywania działań na potęgach. Czas rozwiązywania - ok. 30 sekund.
Obliczanie procentów
Zadania z obliczaniem procentów są maturalnym pewniakiem. I bardzo dobrze, bo jest to chyba najłatwiejsze zadanie z arkusza. Trzeba umieć zamieniać procenty na ułamki, a w rozwiązaniu pomoże nam użycie prostego równania lub wyliczenie procentów z proporcji. Zajmie ci to nie więcej niż 30 sekund.
Oznaczanie przedziałów liczbowych na osi

W tym zadaniu wystarczy wykonać prosty rysunek na osi i znać definicję liczb całkowitych. Gdy już go narysujemy, rozwiązanie ukaże się naszym oczom. Czas rozwiązywania to około 20 sekund.
Zadanie z logarytmów

Jeśli potrafisz rozwiązywać działania związane z logarytmami, to takie zadanie nie powinno zająć ci więcej niż minutę.
Działania na ułamkach

Tu przydadzą się wiadomości ze szkoły podstawowej – zamiana ułamków dziesiętnych na zwykłe oraz proste działania na ułamkach. Łatwizna, co? Większości z zabierze to mniej niż 10 sekund.
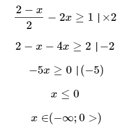
Prosta nierówność 1. stopnia

Rozwiązanie tego zadania również pójdzie szybko, ponieważ jest to prosta nierówność 1. stopnia z jedną niewiadomą. Prócz umiejętności rozwiązywania nierówności przyda się tu również wiedza dotycząca odczytywania zbiorów liczb. Możecie to zrobić w 40 sekund.
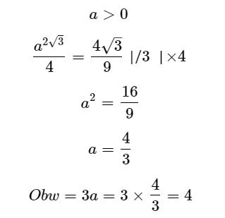
Obliczanie pola figury

Do tego zadania przydadzą nam się wzory na pole i obwód trójkąta równobocznego i umiejętność rozwiązywania równań. Wynik możesz uzyskać już po minucie.
Przeczytaj również: Jak podejść do arkusza, by zdać maturę z matematyki? Poznaj rady egzaminatora
Rozwiązania zadań
Zadanie 1
![]()
Zadanie 2
Zadanie 3

Zadanie 4
![]()
Zadanie 5
![]()
Zadanie 6
Zadanie 19

Jak widzisz, na rozwiązanie 7 prostych zadań zamkniętych z arkusza potrzeba nie więcej niż 5 minut. Jeśli dobrze sobie z nimi poradzisz, to będziesz miał do wykorzystania jeszcze 165 minut, by pogłowić się nad nieco trudniejszymi zadaniami.
RAPORT MATURA 2022
Aktualności, arkusze i rozwiązania – Matura 2022
Podróż w czasie. Tak kiedyś wyglądały matury w Polsce
