Spis treści:
- Matura z matematyki ponad 100 lat temu
- Zadania na maturze z matematyki ponad 100 lat temu
- Rozwiązanie zadań
Matura z matematyki ponad 100 lat temu
W środę (8 maja) odbył się obowiązkowy egzamin maturalny z matematyki, a na dziś zaplanowano maturę z matematyki na poziomie rozszerzonym. Zadania, które pojawiają się w arkuszach, nie dla wszystkich są łatwe.
Czy królowa nauk zawsze stanowiła takie wyzwanie dla przystępujących do egzaminu dojrzałości? Zapytaliśmy matematyka, czy sto lat temu matura z tego przedmiotu była trudniejsza niż obecnie.
– Matura sprzed 100 lat była zdecydowanie trudniejsza. Co prawda było mniej zadań, a niektóre z nich spokojnie mogłyby pojawić się na dzisiejszej maturze, jednak rozwiązywanie ich było bardziej czasochłonne i łatwiej było popełnić błąd – wyjaśnia Miłosz Tyralik, ekspert z serwisu Skul.pl.
Matematyk wspomina też o kilku ważnych kwestiach, o których można zapomnieć, podczas analizy starych zadań z dzisiejszej perspektywy.
– Należy pamiętać, że były to czasy bez kalkulatorów, wszystkie obliczenia należało wykonać ręcznie. Dostęp do wiedzy w tamtych czasach był dużo trudniejszy, więc osoba podchodząca do matury musiała mieć w głowie dzisiejszą kartę wzorów, którą dostają zdający. Dodatkowo stopień złożoności niektórych zadań był większy, jak np. zadanie z rozwiązywaniem trójkąta, gdzie miara stopni była podana aż do sekund kątowych, a nie tak jak dzisiaj, do samych stopni. Podobnie trudne były zadania z kontekstem fizycznym, gdzie zdający musiał posiadać także wiedzę z tej dziedziny – podkreśla Miłosz Tyralik.
Przeczytaj również: Zobacz, jak wyglądała matura 100 lat po 1920 roku
Zadania na maturze z matematyki ponad 100 lat temu
Ponad 100 lat temu zadania na egzaminie dojrzałości wyglądały tak, jak w podanych przykładach.
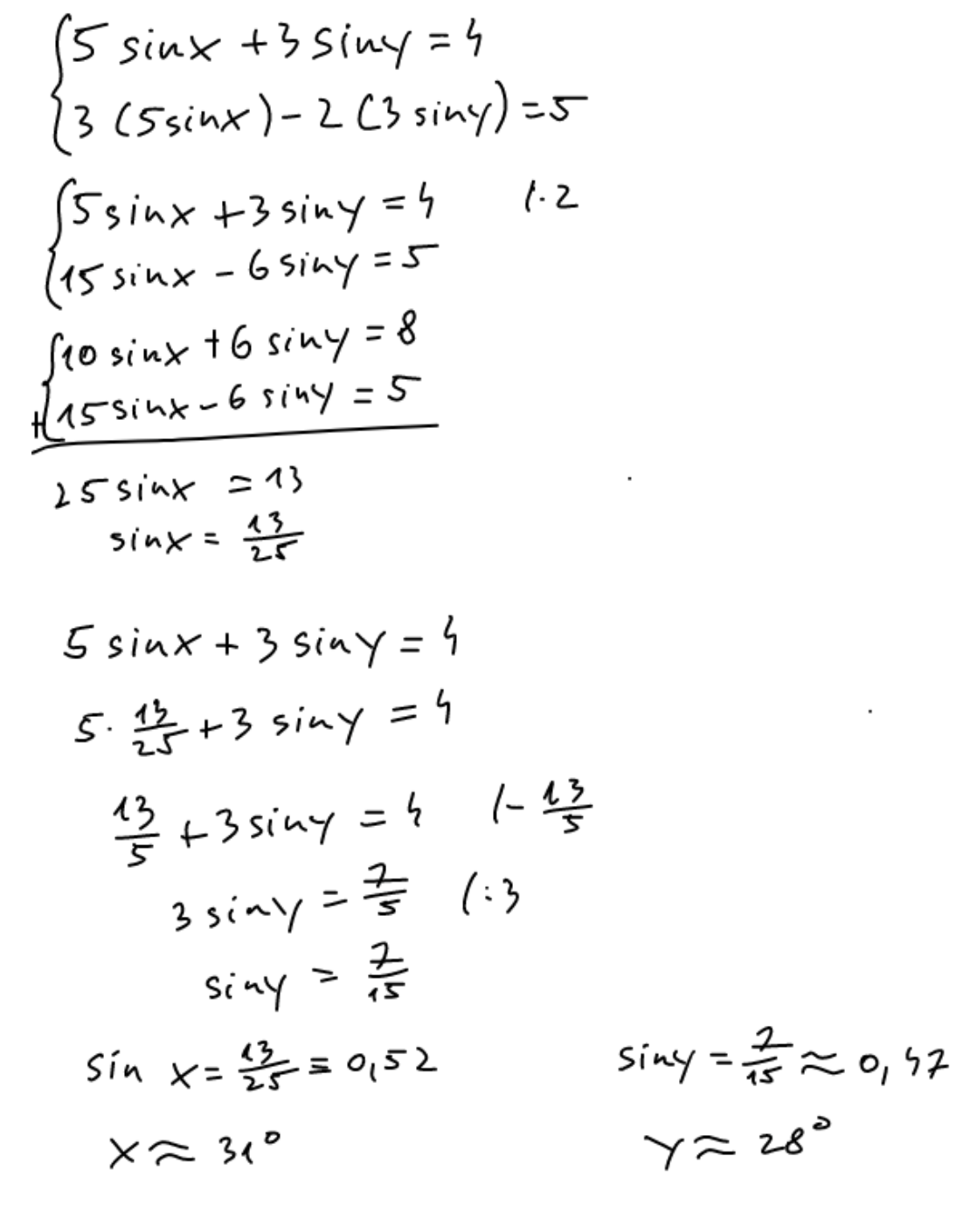
Zadanie 1:
Rozwiąż równania:
5sinx + 3siny = 4
3(5sinx) – 2(3siny) = 5
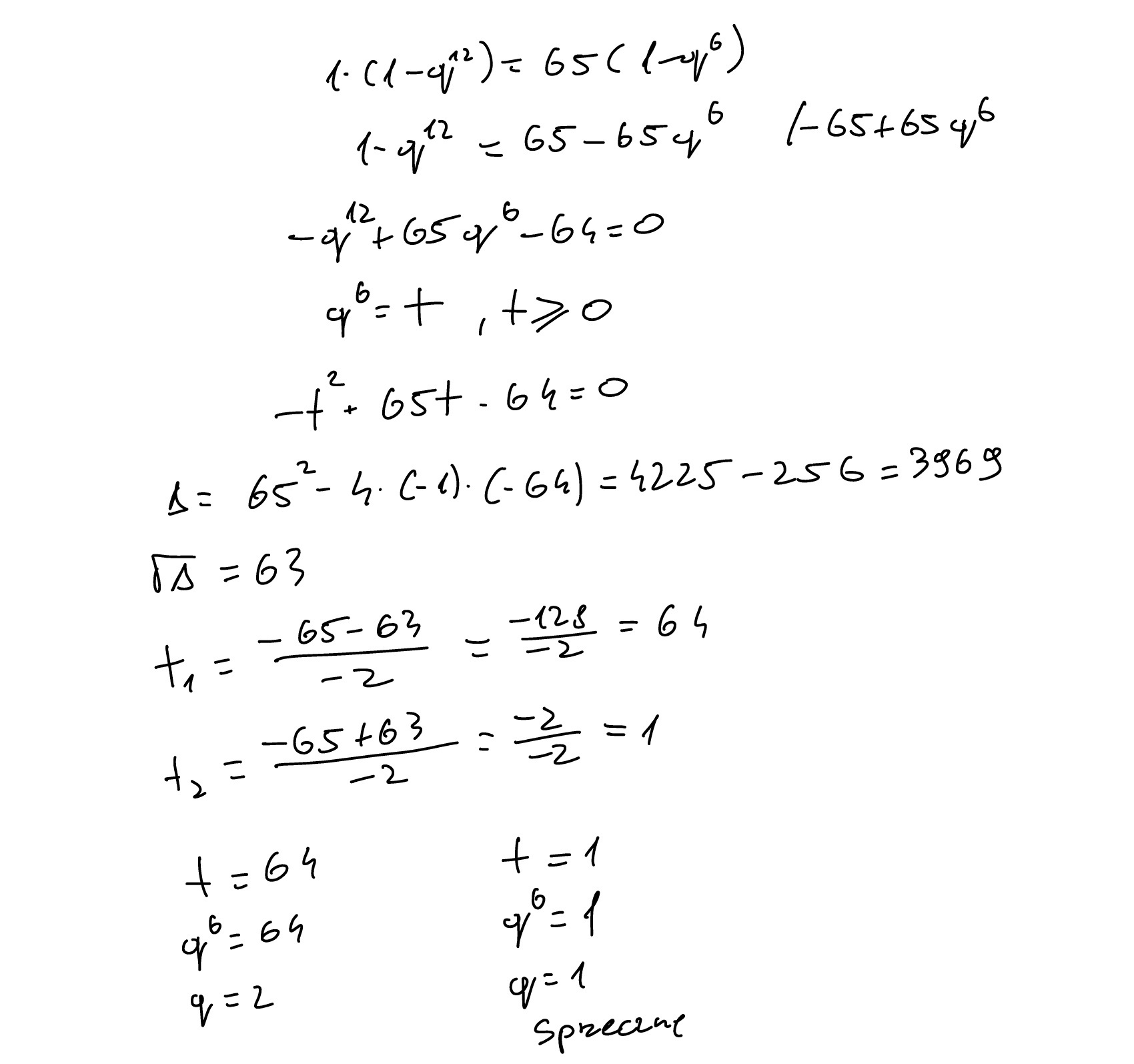
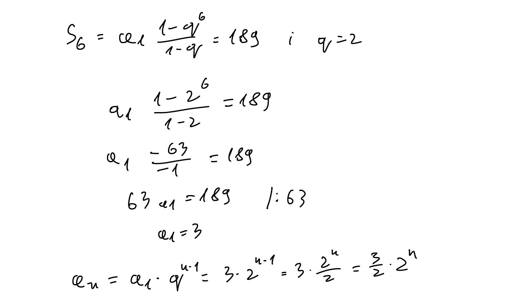
Zadanie 2:
Suma pierwszych sześciu wyrazów postępu geometrycznego to 189, a suma następnych sześciu 12096. Jaki to postęp?
Przeczytaj również: Zagadka od Samuela Loyda. Podołasz łamigłówce wymyślonej ponad 100 lat temu?
Rozwiązanie zadań
Poniżej przedstawiamy odpowiedzi do zadań. Możesz sprawdzić rozwiązania lub prześledzić, co trzeba zrobić, żeby uzyskać poprawne wyniki.
Zadanie 1:
W tym przykładzie pojawiły się tylko dwa równania. Aby uzyskać odpowiedź, należy rozwiązać układ równań, a następnie z tablic trygonometrycznych odczytać wartość kątów dla obliczanych wartości sinusów.

Zadanie 2:
Polecenie jest krótkie. Spodziewałeś się, że rozwiązanie tego zadania jest aż tak długie? Poprawne wyniki i wyjaśnienie sprawdzisz poniżej.



Ten postęp to 3/2 * 2^n. Aby go obliczyć, należy skorzystać ze wzoru na sumę ciągu geometrycznego, dane z polecenie podstawić za sumy, a następnie obliczyć iloraz oraz pierwszy wyraz ciągu.
Jeżeli szukasz zadań ze współczesnego egzaminu dojrzałości, to zobacz Arkusze maturalne matematyka z lat 2015-2023.
Źródła: dobrewiadomosci.net.pl, bryk.pl
Polecamy quizy i łamigłówki matematyczne:
Trudna łamigłówka matematyczna. Sprawdź, czy masz analityczny umysł
QUIZ: Kartkówka z matematyki. Pamiętasz te wzory i regułki?
Łamigłówka matematyczna. Wyliczysz w pamięci w 10 sekund?
Szybka kartkówka z matematyki. Zaliczysz bez potknięcia?
