Pojęcie argentometrii
Argentometria jest rodzajem analizy miareczkowej, która polega na oznaczaniu ilościowym określonych substancji przy użyciu związków srebra. Tworzące się osady charakteryzują się ściśle określonym składem, powstają szybko i łatwo opadają na dno.
Koniec miareczkowania związany jest ze zmianą zabarwienia wskaźnika.
Sporządzanie titranta
W oznaczeniach tego typu titrantem jest mianowany roztwór AgNO3, który przygotowujemy przez rozpuszczenie w wodzie nadważki azotanu (V) srebra o wysokim stopniu czystości. Sól tą otrzymuje się
z nadważki srebra chemicznie czystego rozpuszczonego w 10 ml ok. 30% HNO3. Następnie należy roztwór ten odparować w celu usunięcia tlenków azotu.
Miano roztworu AgNO3 oznacza się przy użyciu NaCl lub KCl (jako titranta) w obecności K2CrO4
( jako wskaźnika).
Metody argentometryczne:
- Oznaczanie chlorków metodą Mohra
Polega ona na bezpośrednim miareczkowaniu obojętnego roztworu chlorku mianowanym roztworem AgNO3, w obecności chromianu (VI) potasu jako indykatora.
Podczas miareczkowania następuje wytrącenie się trudno rozpuszczalnego osadu AgCl:

Kiedy wytrąci się cała ilość jonów chlorkowych Cl-, nadmiar kationów Ag+ reaguje
ze wskaźnikiem, co uwidacznia się powstaniem brunatno czerwonego zabarwienia:

Taka zmiana barwy wskazuje na koniec miareczkowania.
Metodę tą można stosować do oznaczania chlorków i bromków w roztworze obojętnym,
ze względu na reakcję jonów wodorowych z jonami CrO42- z utworzeniem jonów wodorochromianu (VI) HCrO4- i dwuchromianu (VI):

Następuje wówczas zmniejszenie stężenia jonów chromianowych (VI), a w roztworach silniej kwaśnych osad nie wytraca się wcale. Natomiast w roztworach silnie zasadowych przy pH> 10,5 następuje wytracenie osadu Ag2O:

Metody Mohra nie stosuje się do oznaczania chlorków w obecności:
- anionów tworzących w roztworach obojętnych trudno rozpuszczalne sole srebrowe
- (Br-, I-, PO43-, CO32-, AsO43-)
- kationów tworzących trudno rozpuszczalne chromiany (Ba2+ i Pb2+)
- substancji redukujących Ag+ do srebra metalicznego (np. jony Fe2+)
- Oznaczanie chlorków metodą Volharda
Polega ona na dodaniu nadmiaru mianowanego roztworu AgNO3 do zakwaszonego kwasem azotowym (V) roztworu zawierającego chlorki, a następnie odmiareczkowanie nadmiaru AgNO3 mianowanym roztworem KSCN lub NH4SCN w obecności jako wskaźnika ałunu
żelazowo - amonowego.
Po wytrąceniu chlorku srebra nadmiar roztworu tiocyjanianu powoduje pojawienie się różowego zabarwienia. Spowodowane jest to utworzeniem kompleksów żelaza o wzorze ogólnym
Fe(SCN)n3-n( n jest liczbą koordynacyjną i przyjmuje wartości od 1 do 6). Liczba koordynacyjna zależy od stężenia jonów tiocyjanianowych, zazwyczaj przyjmuje wartość 1 i tworzy się kompleks FeSCN2+.
Metodą tą można także oznaczać bromki, jodki i tiocyjaniany także w środowisku kwaśnym. Wyznaczenie stężenia chlorków wyznacza się z różnicy początkowej objętości roztworu AgNO3
i objętości dodanego nadmiaru roztworu tiocyjanianu.
Miareczkowany roztwór znajduje się w zetknięciu z dwoma osadami: AgCl i AgSCN wykazujących rożną rozpuszczalność (AgSCN jest trudniej rozpuszczalny niż AgCl).
Po odmiareczkowaniu AgNO3 tiocyjanianem nadmiar rodanku amonu reaguje z wytrąconym AgCl. Obserwuje się wówczas odbarwienie roztworu:

Zabarwienie kompleksu FeSCN2+ zanika w ciągu ok. 1 minuty, dalszy dodatek rodanku amonu powoduje chwilowe różowe zabarwienie, zanikające na skutek powyższej reakcji. Nie będzie możliwe uchwycenie wtedy punktu końcowego miareczkowania. Aby stał się on widoczny
(aby zapobiec reakcji tiocyjanianu z AgCl) do układu dodaje się niewielką ilość nitrobenzenu. Ulega on silnej adsorpcji na powierzchni cząsteczek osadu, powodując jego lepsze zwilżenie
(niż woda) i oddziela faze stala od roztworu wodnego.
- Oznaczanie chlorków metodą Fajansa i Hassela w obecności wskaźników adsorpcyjnych
Metoda ta polega na wykorzystaniu właściwości adsorpcyjnych fluorowcowych związków srebra. Punkt końcowy miareczkowania wiąże się ze zmianą ładunku na powierzchni osadu co obserwuje się zmianą zabarwienia.
Zmiana ładunku na powierzchni osadu jest związana z ładunkiem adsorbowanych jonów,
w przypadku chlorków osad ma ładunek ujemny:
Po związaniu wszystkich jonów Cl- nadmiar jonów Ag+ powoduje powstawanie ładunku dodatniego:
Warstwa przeciwjonów: Na+ i NO3- jest adsorbowana słabo i dlatego jest łatwo może być wymieniona inne jony.
Aniony wskaźników fluoresceiny, tetrabromofluoresceiny (eozyny), dichlorofluoresceiny są silniej adsorbowane od jonów azotanowych powodując powstanie związku srebra z fluoresceina
na powierzchni osadu zabarwionego na kolor czerwony. Natomiast dodanie nadmiaru jonów chlorkowych powoduje jego odbarwienie spowodowane zaadsorbowaniem jonów Cl- i desorpcją jonów fluoresceiny.
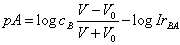
Krzywa miareczkowania
Krzywa miareczkowania ma 4 szczególne punkty opisane poniższymi zależnościami:
- w punkcie wyjściowym:
![]()
- przed osiągnięciem PR:
![]()
- w PR:
![]()
- po przekroczeniu PR:
![]()
gdzie, cA - początkowe stężenie roztworu anionu A-,
V0 - jego objętość,
cB - stężenie mianowanego roztworu kationu B+,
V - objętość tego roztworu, dodanego podczas miareczkowania,
IrBA - iloczyn rozpuszczalności soli BA, dla uproszczenia przyjmujemy cA=cB.




