Spis treści:
Zagadka matematyczna
Cztery podstawowe działania matematyczne, czyli dodawanie, odejmowanie, mnożenie i dzielenie to wiedza na poziomie szkoły podstawowej. Tak się wydaje, dopóki nie trafimy podchwytliwy przykład.

Wiesz, jaki jest wynik?
Przeczytaj również: Łamigłówka matematyczna. Większość popełnia ten sam błąd
Wskazówki do zagadki matematycznej
Aby rozwiązać tę zagadkę matematyczną, wystarczy wiedzieć, jaka jest kolejność wykonywania działań. Nie jest ona przypadkowa.
W tym działaniu nie ma nawiasów, ale gdyby się pojawiły, to należałoby zacząć właśnie od nich. Co potem? Pewnie pamiętasz, że kolejno wykonujemy:
- potęgowanie lub pierwiastkowanie,
- mnożenie lub dzielenie,
- dodawanie lub odejmowanie.
Podzielenie liczby przez ułamek również jest banalne, o ile wiesz, że wystarczy zamienić znak dzielenia na znak mnożenia, a za nim postawić odwrotność ułamka. Na przykład:

Po małej powtórce z podstaw możesz jeszcze skorzystać ze wskazówki. Jedna z poniższych odpowiedzi jest poprawna:
- 0
- 1
- 4
Która?
Przeczytaj również: Podchwytliwa zagadka matematyczna. Wyliczysz w pamięci?
Rozwiązanie zagadki matematycznej
Poprawny wynik to oczywiście 1. Dlaczego? Prześledź obliczenia:

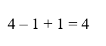
Są tacy, którzy myśleli, że poprawny wynik to 4. Kiedy byłaby to prawda? Gdyby działanie miało postać:

Sprawdźmy:

Źródło: FB/Mathematics Expert
Rozwiąż inne zagadki matematyczne:
Łamigłówka matematyczna. Wyliczysz w pamięci w 10 sekund?
Zagadka matematyczna. Znajdź liczbę, która zastąpi znak zapytania
Zagadka matematyczna dla sprytnych. Odpowiedź nie jest oczywista
