Spis treści:
- Matura poprawkowa 2024 – terminy
- Matura poprawkowa z matematyki. Rady eksperta
- Podchwytliwe zadanie matematyczne. Rozwiąż przed maturą
- Poprawka z matematyki. Co zrobić, gdy dostaniesz arkusz?
- Podchwytliwe zadanie matematyczne. Poprawne rozwiązanie
Matura poprawkowa 2024 – terminy
Centralna Komisja Egzaminacyjna poinformowała, że ponad 10 proc. osób, które zdawały maturę w maju 2024 roku, może przystąpić do poprawki. Wiadomo, że na:
- 20 sierpnia zaplanowano część pisemną ze wszystkich przedmiotów na poziomie podstawowym,
- 21 sierpnia egzaminy ustne z języka polskiego, języka mniejszości narodowych oraz języków obcych nowożytnych.
Ilu maturzystów zdało egzamin dojrzałości z matematyki na poziomie podstawowym w terminie głównym? CKE podała, że to aż 89 proc. absolwentów 4-letniego liceum ogólnokształcącego, 5-letniego technikum i branżowej szkoły II stopnia, którzy pisali go w formule 2023.
Przeczytaj również: Wyniki matur 2024. Wiadomo, ilu maturzystów zdało egzamin dojrzałości
Matura poprawkowa z matematyki. Rady eksperta
Miłosz Tyralik, matematyk i ekspert serwisu Skul.pl, podpowiada, co zrobić przed sierpniową poprawką, aby zwiększyć swoje szanse na dobry wynik:
– Do poprawkowego egzaminu maturalnego warto podejść tak samo, jak do pierwszego terminu. Przejrzeć oraz rozwiązać arkusze z poprzednich lat, powtórzyć zagadnienia, z którymi mamy problem. W tym przypadku jest o tyle „wygodniej”, że mamy już pewne odniesienie, tj. wiemy, jakie tematy sprawiły nam problem na pierwszym terminie. Do nich należy podejść z większą uwagą – powtórzyć bardziej szczegółowo, przerobić więcej zadań z tego zakresu. Jeśli dalej nie jesteśmy zaznajomieni z kartą wzorów, co się w niej znajduje i jak z niej korzystać, to jest ostatni moment na nadrobienie zaległości.
Ekspert odradza pomysł, który może wydawać się logiczny, ale wcale taki nie jest.
– Na pewno nie można analizować poprawki pod kątem „co nie było na głównej maturze to będzie tutaj”. Arkusze egzaminacyjne są niezależne między sobą. Za każdym razem może pojawić się cokolwiek z wymagań egzaminacyjnych, więc należy być przygotowanym na wszystko – przekonuje.
Przeczytaj również: Matura z matematyki ponad 100 lat temu była trudniejsza? Zobacz rozwiązania zadań
Podchwytliwe zadanie matematyczne. Rozwiąż przed maturą
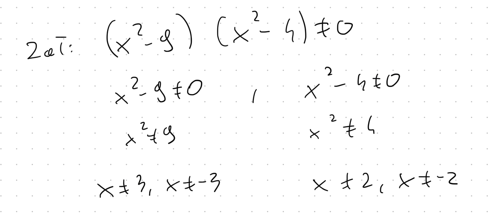
W arkuszach maturalnych z matematyki zawsze są równania i nierówności. Chcesz sprawdzić, jak radzisz sobie z takimi zadaniami? Wykonaj przykład zaproponowany przez eksperta z serwisu Skul.pl:

Ile rozwiązań ma to równanie? Na końcu artykułu znajdziesz odpowiedź, ale lepiej nie sprawdzaj jej od razu. Spróbuj zmierzyć się z tym samodzielnie.
Przeczytaj również: Zagadka od Samuela Loyda. Podołasz łamigłówce wymyślonej ponad 100 lat temu?
Poprawka z matematyki. Co zrobić, gdy dostaniesz arkusz?
Utrata nawet jednego punktu może zaważyć na wyniku poprawkowej matury. Na co uważać podczas rozwiązywania poprawkowej matury z matematyki?
– Jak zawsze należy zwrócić uwagę na drobne błędy, które lubią się wkraść podczas obliczeń, np. rachunkowe, zagubione nawiasy i minusy. Są to miejsca, gdzie najczęściej traci się cenne punkty. W zadaniach otwartych zdarza się, że są to punkty za wynik. Często wszystkie obliczenia są poprawne, ale przez pośpiech i stres, maturzysta źle zapisze ten kluczowy element. Warto to sprawdzić przed oddaniem arkusza – podpowiada Miłosz Tyralik.
Zobacz również arkusze maturalne matematyka z lat 2015-2023
Podchwytliwe zadanie matematyczne. Poprawne rozwiązanie
Wynik może zaskoczyć nawet tych, którzy całkiem dobrze radzą sobie z zadaniami matematycznymi. Jeżeli miałeś problem z tym przykładem, to przeanalizuj rozwiązanie eksperta.
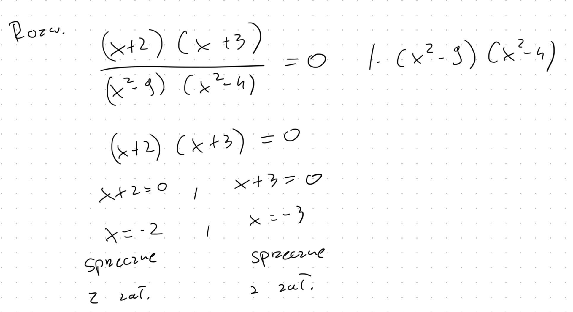
Najpierw należy wskazać poprawne założenia:

Następnie można przystąpić do wykonywania obliczeń:

Okazuje się, że to równanie nie ma poprawnego rozwiązania, a można się pomylić z co najmniej dwóch powodów. Stanie się tak, jeżeli zapomnimy o założeniach lub o ujemnych liczbach przy obliczaniu dziedziny. Zauważyłeś to od razu?
Źródła: cke.gov.pl, bryk.pl, skul.pl
Polecamy quizy matematyczne i z przedmiotów ścisłych
QUIZ: Kartkówka z matematyki. Pamiętasz te wzory i regułki?
QUIZ z przedmiotów ścisłych. 12/12 tylko dla wybitnych
Szybka kartkówka z matematyki. Zaliczysz bez potknięcia?
