Roztwory
Roztwór stanowi mieszanina jednorodna substancji rozpuszczanej oraz rozpuszczalnika (np. atrament z wodą). Rozpuszczalnikiem może być woda. Rozpuszczają się w niej związki polarne, ponieważ jej cząsteczka ma budowę dipolową (rozdział ładunków na końcach cząsteczki). Cząsteczki wody mogą połączyć się w agregaty i wówczas mamy do czynienia ze zjawiskiem asocjacji.
Cechą charakterystyczną danej substancji jest rozpuszczalność w określonym rozpuszczalniku, którą definiuje się jako ilość gramów substancji w 100 gramach rozpuszczalnika w określonych watunkach (temperatura, ciśnienie).
Czynniki wpływające na rozpuszczalność to:
- Temperatura
- Ciśnienie
- Rodzaj rozpuszczanej substancji
- Rozdrabnianie substancji
- Mieszanie
Rozpuszczanie jest procesem fizycznym polegającym na otaczaniu cząsteczek substancji rozpuszczonej przez cząsteczki rozpuszczalnika.
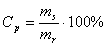
Każdy roztwór posiada określone stężenie. Jednym z nich jest stężenie procentowe, wyrażone wzorem:

gdzie Cp - stężenie procentowe [%]
ms - masa substancji [g]
mr - masa roztworu [g]
mr = ms + mw
gdzie mw - masa rozpuszczalnika [g]
Podział roztworów ze względu na wielkość cząsteczek:
- Właściwe, w których cząstki substancji rozpuszczanej są mniejsze niż 10-9m
Przykłady roztworów:
- Wodny roztwór cukru
- Wodny roztwór soli (NaCl)
- Wodny roztwór siarczanu (VI) miedzi (II)
- Koloidalne, kiedy substancja rozpuszczana posiada cząsteczki o wielkości 10-9 do 10-7 m
Przykłady:
- Kisiel
- Białko jaja w wodzie
- Zawiesiny, w których cząsteczki substancji rozpuszczanej osiągają wielkości 10-6 - 10-5 m
Przykłady:
- Kreda w wodzie
- Mąka w wodzie
Koloidy oraz zawiesiny należą do roztworów niewłaściwych, zdolnych do rozpraszania światła (efekt Tyndala)
Sposoby otrzymywania roztworów: nasyconego oraz nienasyconego (Tabela 1.)
|
Czynnik
|
Roztwór nasycony z nienasyconego
|
Roztwór nienasycony z nasyconego
|
|
Temperatura
|
Zmniejszenie
|
Zwiększenie
|
|
Rozpuszczalnik
|
Odparować
|
Dodać
|
|
Substancja rozpuszczona
|
Dodać
|
-
|
Tabela 1.
Zjawiska fizyczne charakterystyczne dla roztworów (Tabela 2)
|
Zjawisko
|
Krótki opis
|
|
Kondensacja (skraplanie)
|
Przejście ze stanu gazowego w ciekły
|
|
Sublimacja
|
Przejście ze stanu stałego w stan gazowy
|
|
Parowanie
|
Przejście ze stanu ciekłego w gazowy,
zachodzi na powierzchni cieczy
|
|
Topnienie
|
Przejście ze stanu stałego w ciekły
|
|
Resublimacja
|
Przejście ze stanu gazowego w stały
|
|
Krzepnięcie
|
Przejście ze stanu ciekłego w stały
|
|
Wrzenie
|
Gwałtowny proces parowania zachodzący
na powierzchni cieczy
|
Tabela 2.
Czynniki wpływające na parowanie:
- Temperatura
- Ciśnienie atmosferyczne
- Powierzchnia parowania
Funkcje pary wodnej, występującej w atmosferze:
- Regulacja temperatury
- Nawilżanie powietrza
- Ochrona przed zbytnim promieniowaniem słonecznym
Temperatura wrzenia silnie zależy od ciśnienia. Zwęszenie temperatury powoduje wzrost szybkości poruszania się cząsteczek, czyli wzrasta energia kinetyczna. Przy zwiększonym ciśnieniu cząsteczki roztworu pokonanie bariery ciecz - gaz staje się trudniejsze i wymaga dostarczenia wyższej energii (wzrost temperatury wrzenia). Obniżenie ciśnienia wywołuje odwrotny efekt, tak więc wówczas temperatura wrzenia spada.
Przejście ze stanu ciekłego w stały może nastąpić przez krystalizację. Proces ten polega na tworzeniu się kryształów (najpierw powstają zarodki krystaliczne, potem one wzrastają) w wyniku odparowania albo oziębienia roztworu.
