Zapoznaj się z arkuszem maturalnym z chemii 2023. Znalazły się w nim zadania z prawie wszystkich działów z podstawy programowej. Arkusz z rozwiązaniami na poziomie rozszerzonym pozwoli ci przygotować się do egzaminu.
Matura z chemii odbyła się 16 maja 2023r. fot. Redakcja Interia
Spis treści:
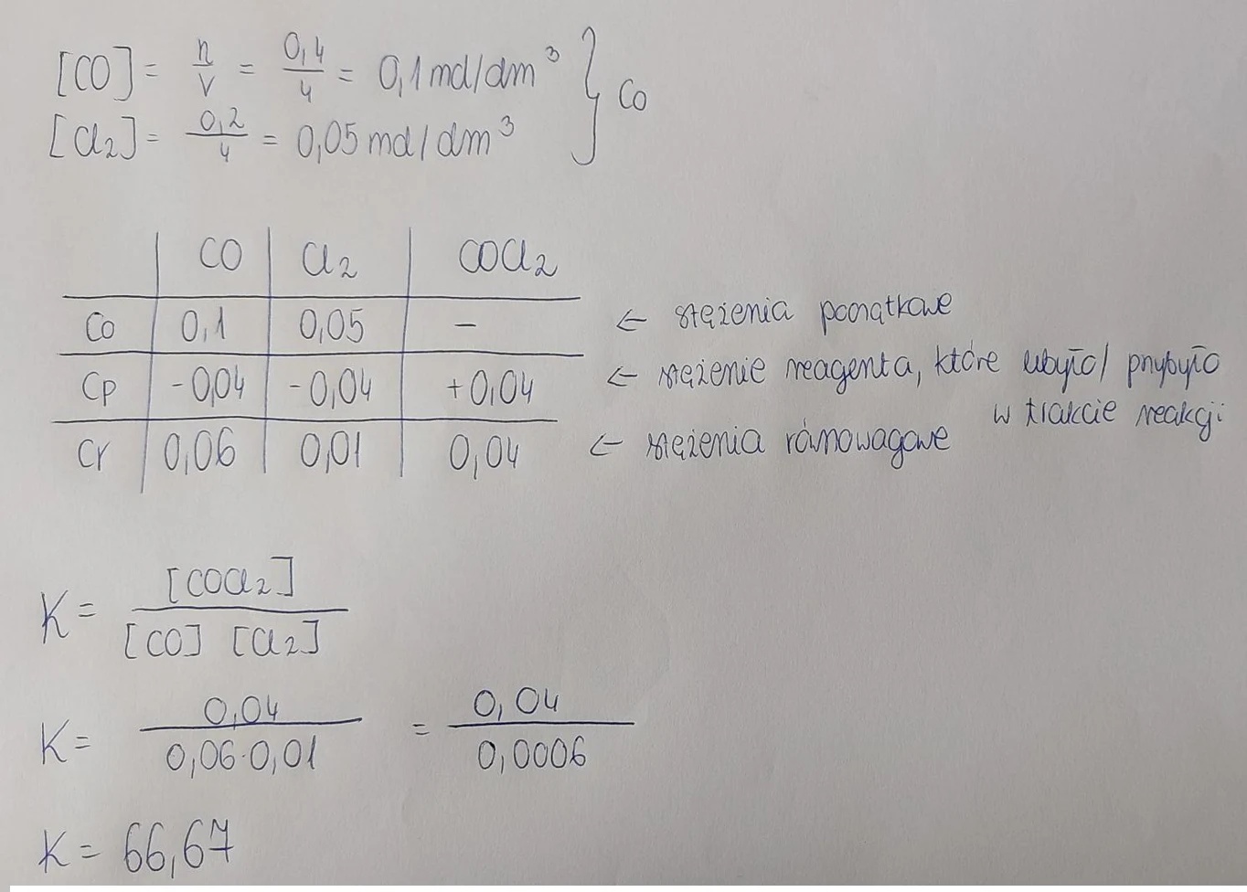
Poniżej znajdziesz arkusz maturalny z chemii na poziomie rozszerzonym roku 2023. Odpowiedzi zostały naniesione na karty arkusza.































Możesz również pobrać arkusz CKE bez rozwiązań w formacie pdf i sprawdzić swoją wiedzę przed egzaminem maturalnym. Przycisk do pobrania arkusza znajduje się poniżej.