Zapoznaj się z arkuszem maturalnym z matematyki 2023. Znalazły się w nim zadania z prawie wszystkich działów z podstawy programowej. Arkusz z rozwiązaniami na poziomie rozszerzonym pozwoli ci przygotować się do egzaminu oraz poznać formy zadań i właściwe odpowiedzi.
Matura z matematyki na poziomie rozszerzonym odbyła się 12 maja 2023 r. fot. Redakcja Interia
Spis treści:
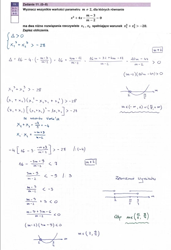
Poniżej znajdziesz próbny arkusz maturalny z matematyka na poziomie rozszerzonym roku 2023. Odpowiedzi zostały naniesione na karty arkusza.















Możesz również pobrać arkusz CKE bez rozwiązań w formacie pdf i poćwiczyć przed egzaminem maturalnym. Przycisk do pobrania arkusza znajduje się poniżej.