Zapoznaj się z arkuszem maturalnym z fizyki 2023. Znalazły się w nim zadania wymagające m.in. umiejętności odczytywania wykresów, wyliczania częstotliwości czy obliczania prędkości światła w określonych warunkach. Arkusz z rozwiązaniami na poziomie rozszerzonym pozwoli ci lepiej przygotować się do egzaminu maturalnego.
Matura główna 2023 z fizyki odbyła się 19 maja 2023 r. fot. Redakcja Interia
Spis treści:
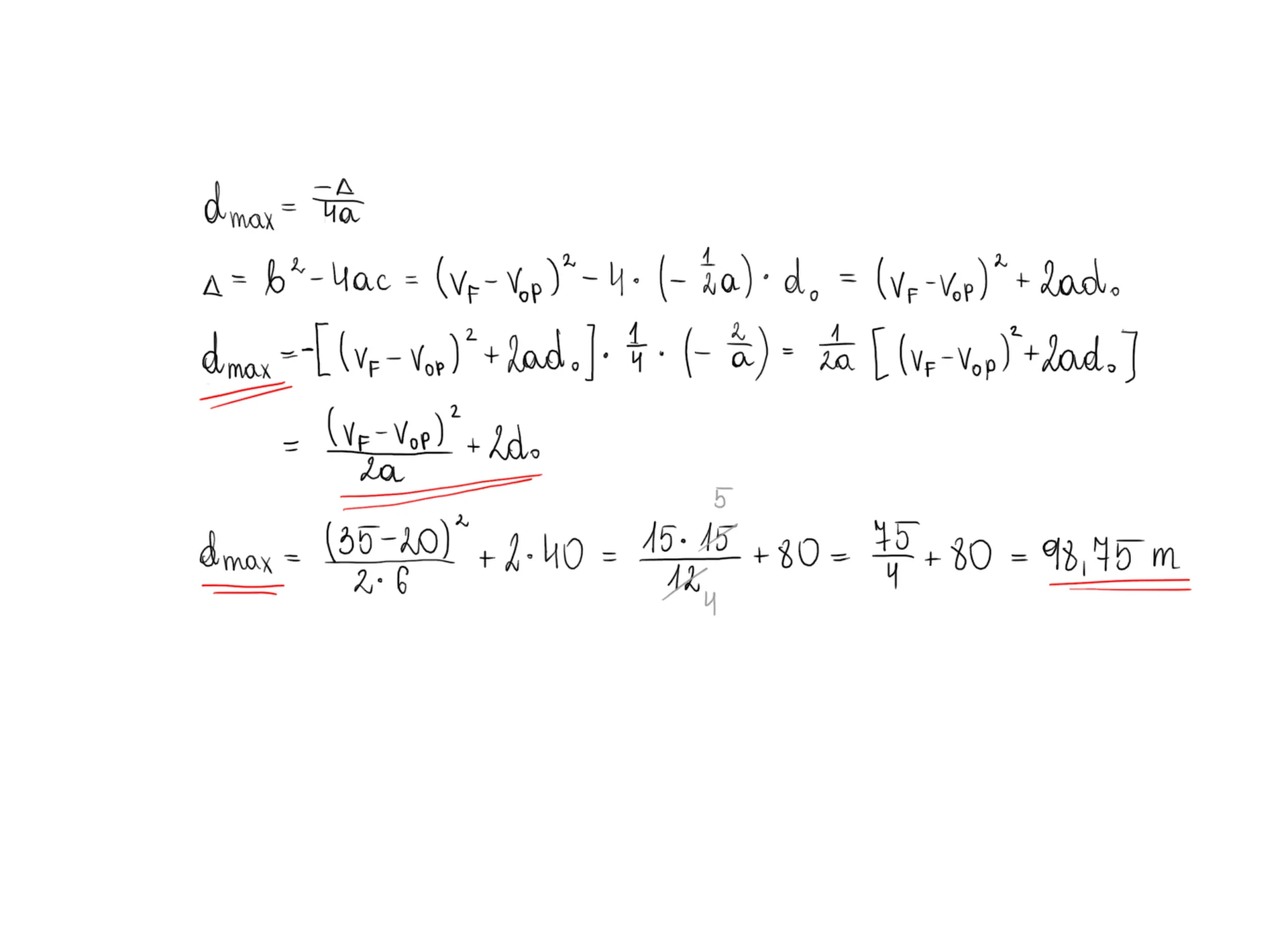
Poniżej znajdziesz arkusz maturalny z fizyki na poziomie rozszerzonym z roku 2023. Odpowiedzi zostały naniesione na karty arkusza.

Możesz również pobrać arkusz CKE bez rozwiązań w formacie pdf i poćwiczyć przed egzaminem maturalnym. Przycisk do pobrania arkusza znajduje się poniżej.






















