Spis treści:
- Dlaczego warto napisać próbną maturę z matematyki?
- Jakie przedmioty trzeba zdawać na maturze 2026?
- Arkusze CKE z matematyki z rozwiązaniami
- Harmonogram matury 2026. Jakie terminy trzeba znać?
- Kto może zdawać maturę 2026 w terminie dodatkowym?
- Termin matury poprawkowej 2026 i jej zasady
Dlaczego warto napisać próbną maturę z matematyki?
Próbna matura 2026 z matematyki to najskuteczniejszy sposób na oswojenie się z formatem arkuszy i atmosferą panującą na maturze. To nie tylko sprawdzian wiedzy, który pokaże, jaki zakres materiału warto powtórzyć, ale też skuteczna metoda ograniczenia stresu w trakcie egzaminu dojrzałości.
Próbne egzaminy są konstruowane w taki sposób, aby możliwie wiernie odzwierciedlały strukturę właściwej matury. Uczniowie rozwiązują więc zadania zamknięte i otwarte, mierzą się z geometrią, funkcjami i rachunkiem prawdopodobieństwa.
Jakie przedmioty trzeba zdawać na maturze 2026?
Wielu uczniów zastanawia, się, co trzeba zdawać na maturze 2026. Tegoroczni maturzyści muszą zmierzyć się z egzaminami pisemnymi na poziomie podstawowym z języka polskiego, matematyki i języka obcego. Dodatkowo obowiązkowy jest egzamin ustny z języka polskiego i jednego obcego języka nowożytnego.
Istotne jest również to, czy w 2026 roku trzeba zdać rozszerzenie. Uczniowie muszą wybrać przynajmniej jeden przedmiot, który będą zdawać na poziomie rozszerzonym. Warto mieć na uwadze, że nie obowiązuje tu próg zdawalności wynoszący 30%. Oznacza to, że nawet jeśli maturzysta zdobędzie 0% z przedmiotu na poziomie rozszerzonym, to zda maturę. Oczywiście pod warunkiem, że uczeń zda wszystkie wymagane przedmioty na poziomie podstawowym.
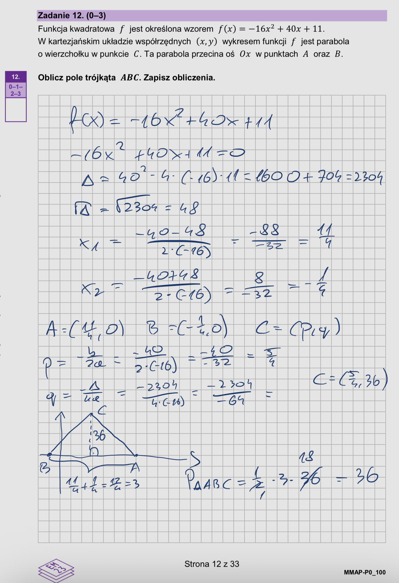
Arkusze CKE z matematyki z rozwiązaniami




Harmonogram matury 2026. Jakie terminy trzeba znać?
Pisemna część egzaminu maturalnego 2026 w terminie głównym będzie się odbywać od 4 do 21 maja. W poniedziałek (4 maja) maturzyści napiszą egzamin z języka polskiego na poziomie podstawowym, we wtorek (5 maja) z matematyki na poziomie podstawowym, a w środę (6 maja) z języka angielskiego oraz innych języków obcych na poziomie podstawowym. W czwartek (7 maja) odbędzie się egzamin z języka angielskiego na poziomie rozszerzonym, a w piątek (8 maja) matura z biologii.
Po weekendzie wytchnienia przyjdzie kolejny tydzień egzaminów maturalnych. W poniedziałek (11 maja) zaplanowana jest matematyka na poziomie rozszerzonym, we wtorek (12 maja) wiedza o społeczeństwie, w środę (13 maja) chemia, w czwartek (14 maja) informatyka, a w piątek (15 maja) matura z geografii.
Z kolei w poniedziałek (18 maja) odbędzie się matura z historii, we wtorek (19 maja) z fizyki, a w środę (20 maja) z języka polskiego na poziomie rozszerzonym.
Wszystkie wymienione egzaminy rozpoczną się o godz. 9:00.
Część ustna matury 2026 będzie przeprowadzana między 7 a 30 maja. Egzaminy są organizowane w szkołach według harmonogramów ustalanych przez przewodniczących zespołów egzaminacyjnych.
Kto może zdawać maturę 2026 w terminie dodatkowym?
W 2026 roku terminy dodatkowe matury zostały wyznaczone na okres od 1 do 16 czerwca. Ten okres przeznaczony jest dla uczniów, którzy nie mogli przystąpić do matury w maju z powodu problemów zdrowotnych lub nieprzewidzianych okoliczności. W tym przypadku jednak trzeba złożyć wniosek do dyrektora szkoły. Dokumenty należy przedstawić najpóźniej w dniu majowego egzaminu, w którym maturzysta nie mógł uczestniczyć.
Termin matury poprawkowej 2026 i jej zasady
W poniedziałek 24 sierpnia odbędzie się matura poprawkowa części pisemnej. Z kolei część ustna jest przewidziana na 25 sierpnia. Matura poprawkowa 2026 jest przeznaczona dla każdego ucznia, który przystąpił do wszystkich obowiązkowych egzaminów w maju oraz jednego egzaminu dodatkowego, ale nie zdał jednego z nich.
Matury poprawkowej nie mogą zdawać uczniowie, których egzamin z jakiegoś powodu został unieważniony. W takiej sytuacji trzeba czekać do matury majowej w 2027 roku.
Źródło: cke.gov.pl, hub.pl
Przeczytaj też:
Matura 2024. Jak napisać rozprawkę maturalną na 100%? Praktyczne porady
Arkusze maturalne z chemii rozwiązaniami. Sprawdź się!
Arkusze maturalne z biologii z rozwiązaniami. Sprawdź się!
























