Zapoznaj się z arkuszem maturalnym z matematyki 2026. Znalazły się w nim zadania z prawie wszystkich działów z podstawy programowej. Arkusz z rozwiązaniami na poziomie podstawowym pozwoli ci przygotować się do egzaminu/poznać formy zadań oraz właściwe odpowiedzi.
Matura próbna 2026 z mateatyki odbyła się 4 marca 2026 r. fot. Redakcja Interia
Spis treści:
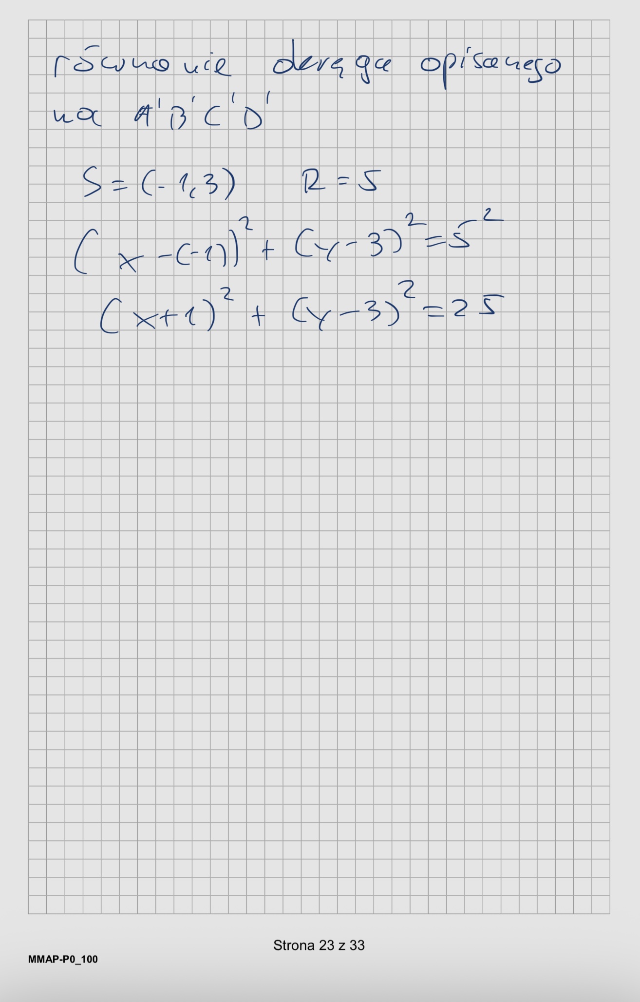
Poniżej znajdziesz próbny arkusz maturalny z matematyka na poziomie podstawowym z roku 2026. Odpowiedzi zostały naniesione na karty arkusza.



























Możesz również pobrać arkusz CKE bez rozwiązań w formacie pdf i sprawdzić swoją wiedzę/poćwiczyć przed egzaminem maturalnym. Przycisk do pobrania arkusza znajduje się poniżej.