Zapoznaj się z próbnym arkuszem maturalnym z matematyki 2024. Arkusz z rozwiązaniami na poziomie rozszerzonym pozwoli ci poznać formy zadań oraz właściwe odpowiedzi.
Matura próbna 2024 z matematyki na poziomie rozszerzonym odbyła się 12 grudnia 2024 r. fot. Redakcja Interia
Spis treści:
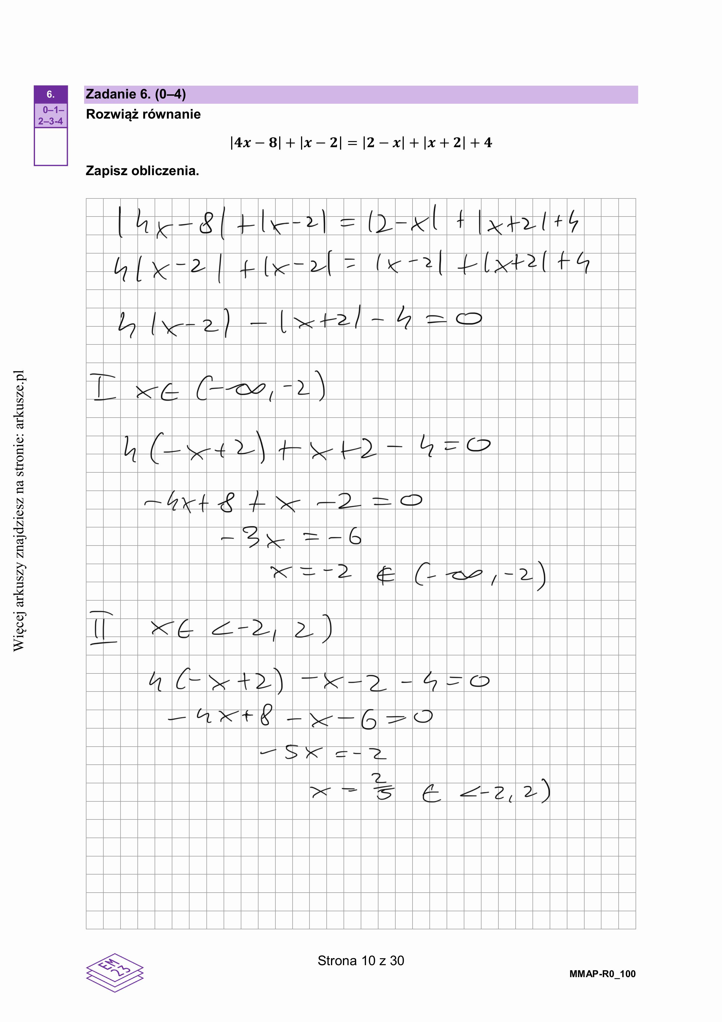
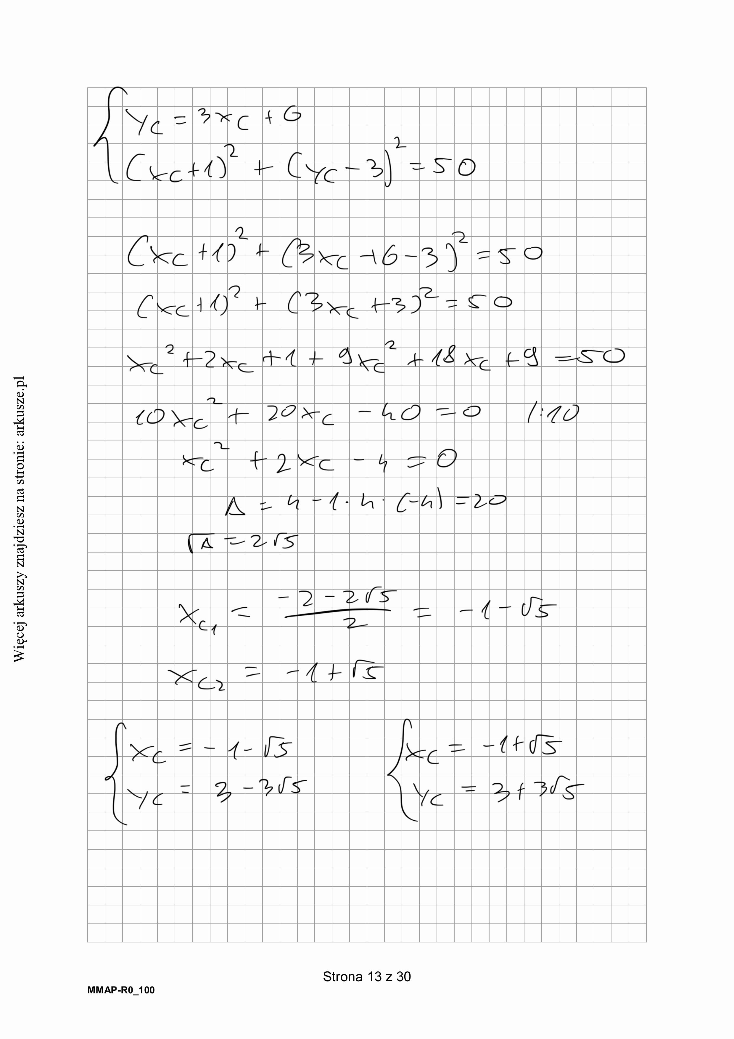
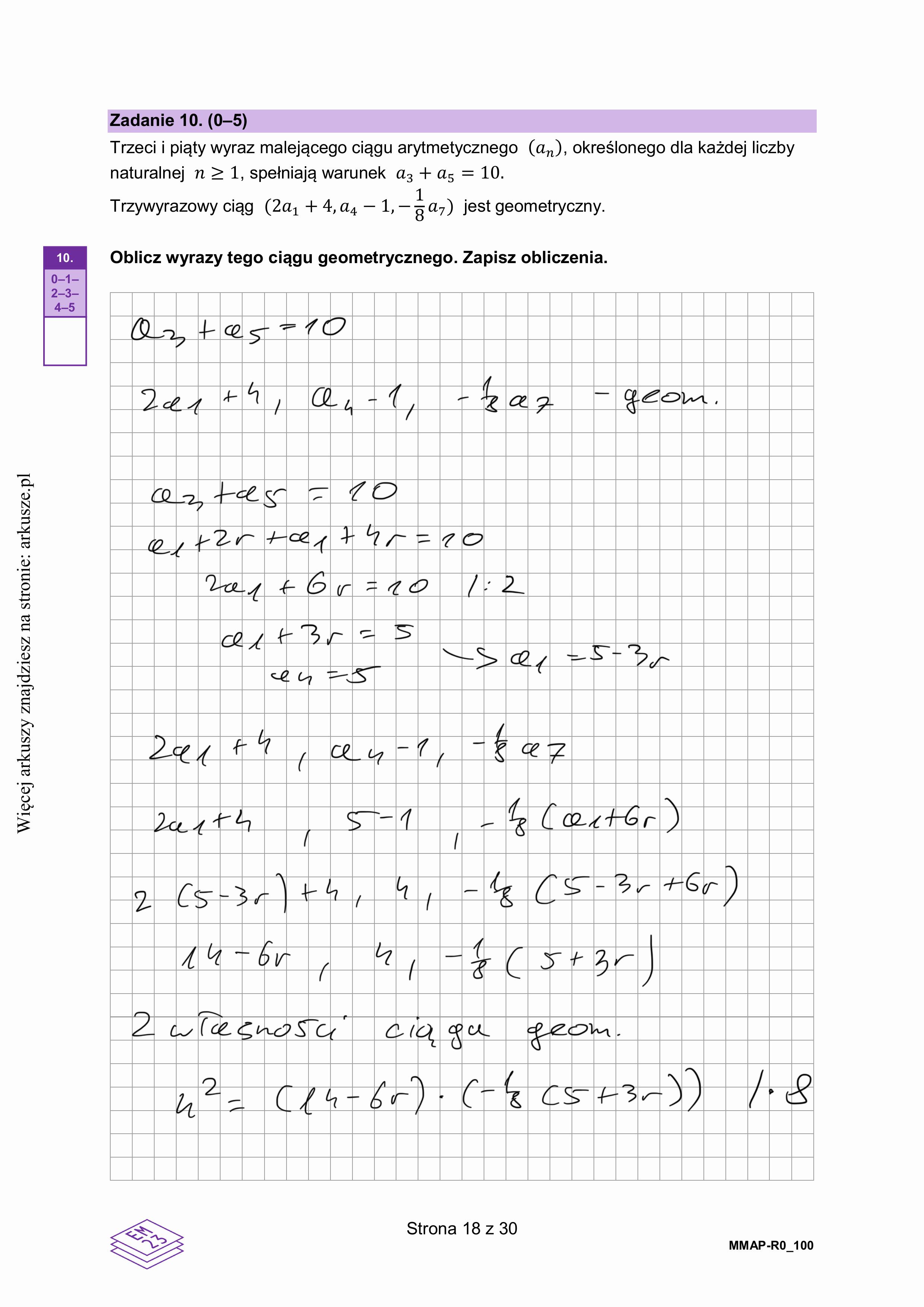
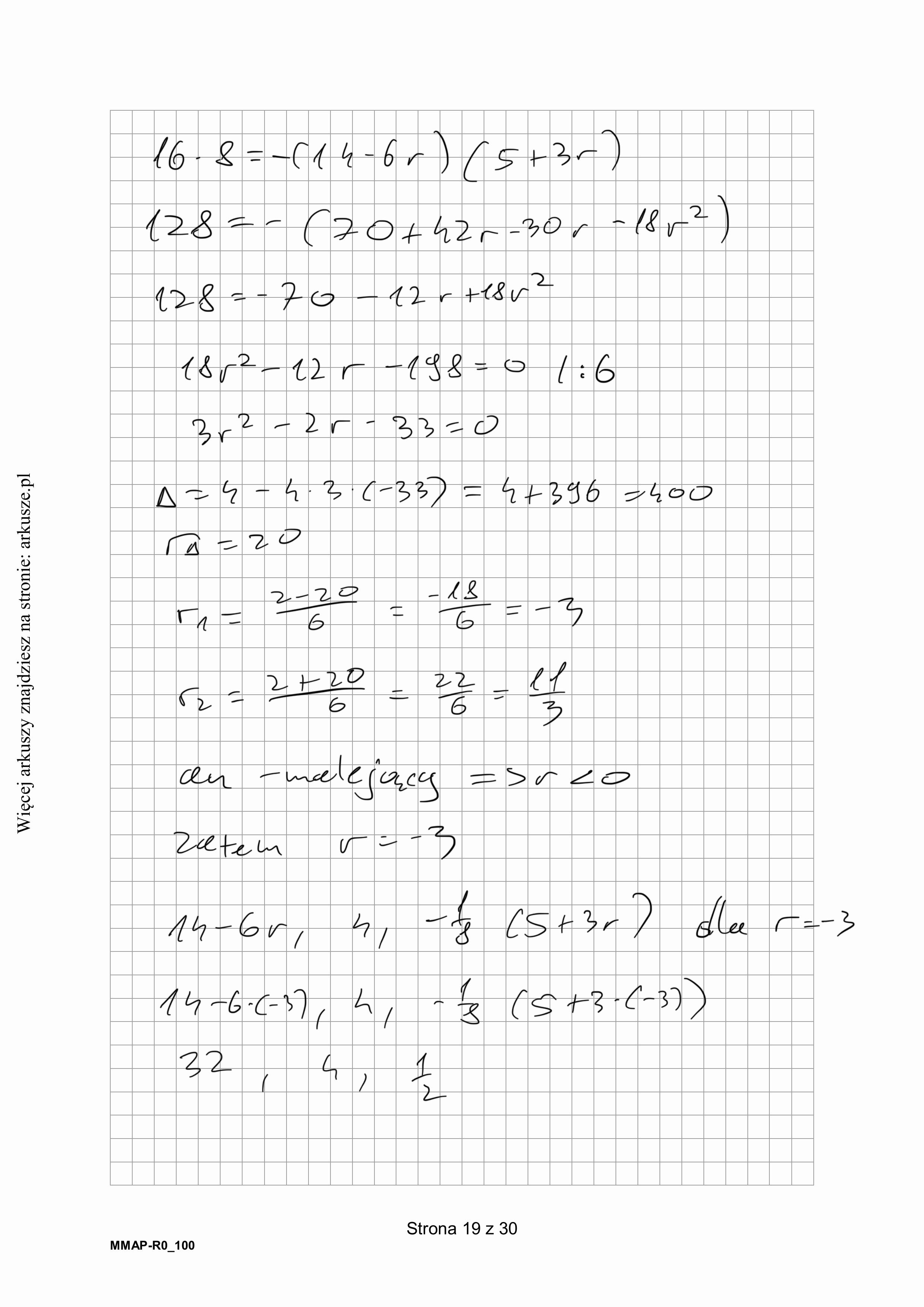
Poniżej znajdziesz próbny arkusz maturalny z matematyka na poziomie podstawowym z roku 2026. Odpowiedzi zostały naniesione na karty arkusza.
























Możesz również pobrać arkusz CKE bez rozwiązań w formacie pdf i poćwiczyć przed egzaminem maturalnym. Przycisk do pobrania arkusza znajduje się poniżej.