Zapoznaj się z arkuszem maturalnym z matematyki 2024. Znalazły się w nim zadania z prawie wszystkich działów z podstawy programowej. Arkusz z rozwiązaniami na poziomie podstawowym pozwoli ci poznać formy zadań oraz właściwe odpowiedzi.
Matura próbna z matematyki na poziomie podstawowym odbyła się 6 grudnia 2024 r. fot. Redakcja Interia
Spis treści:
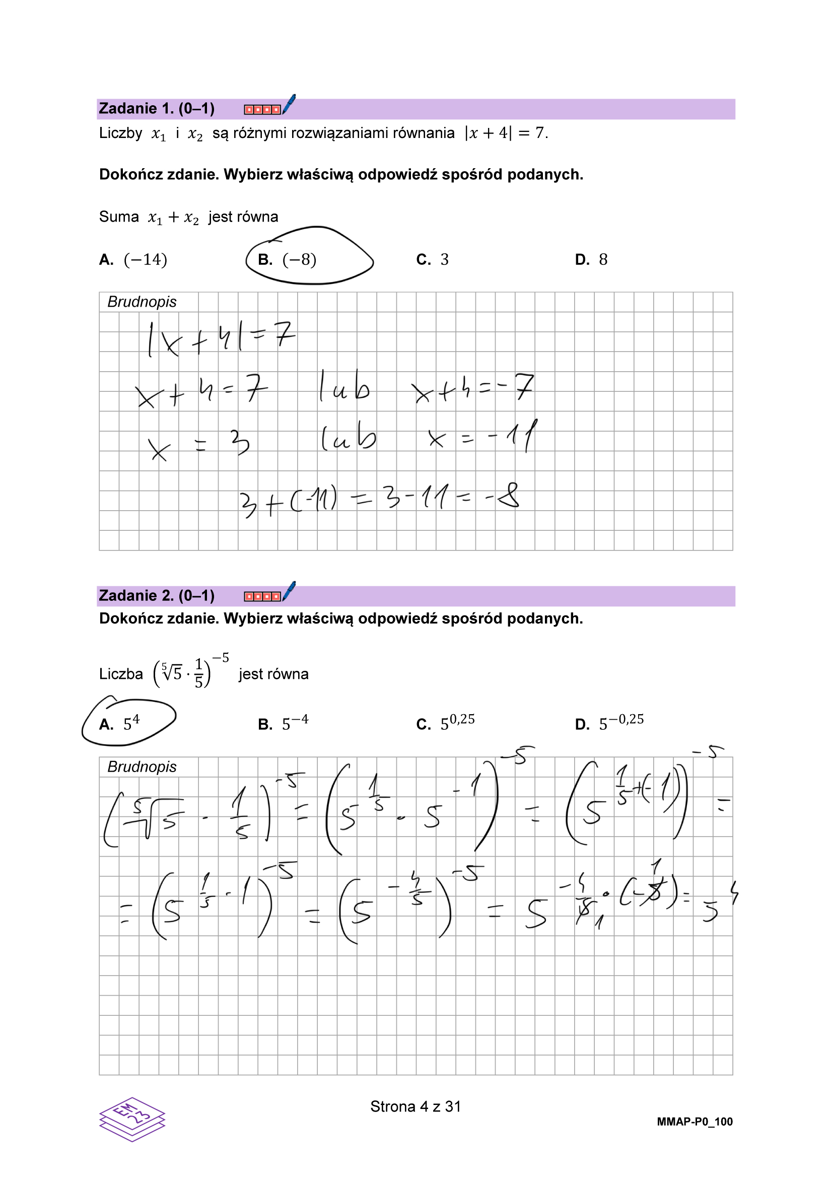
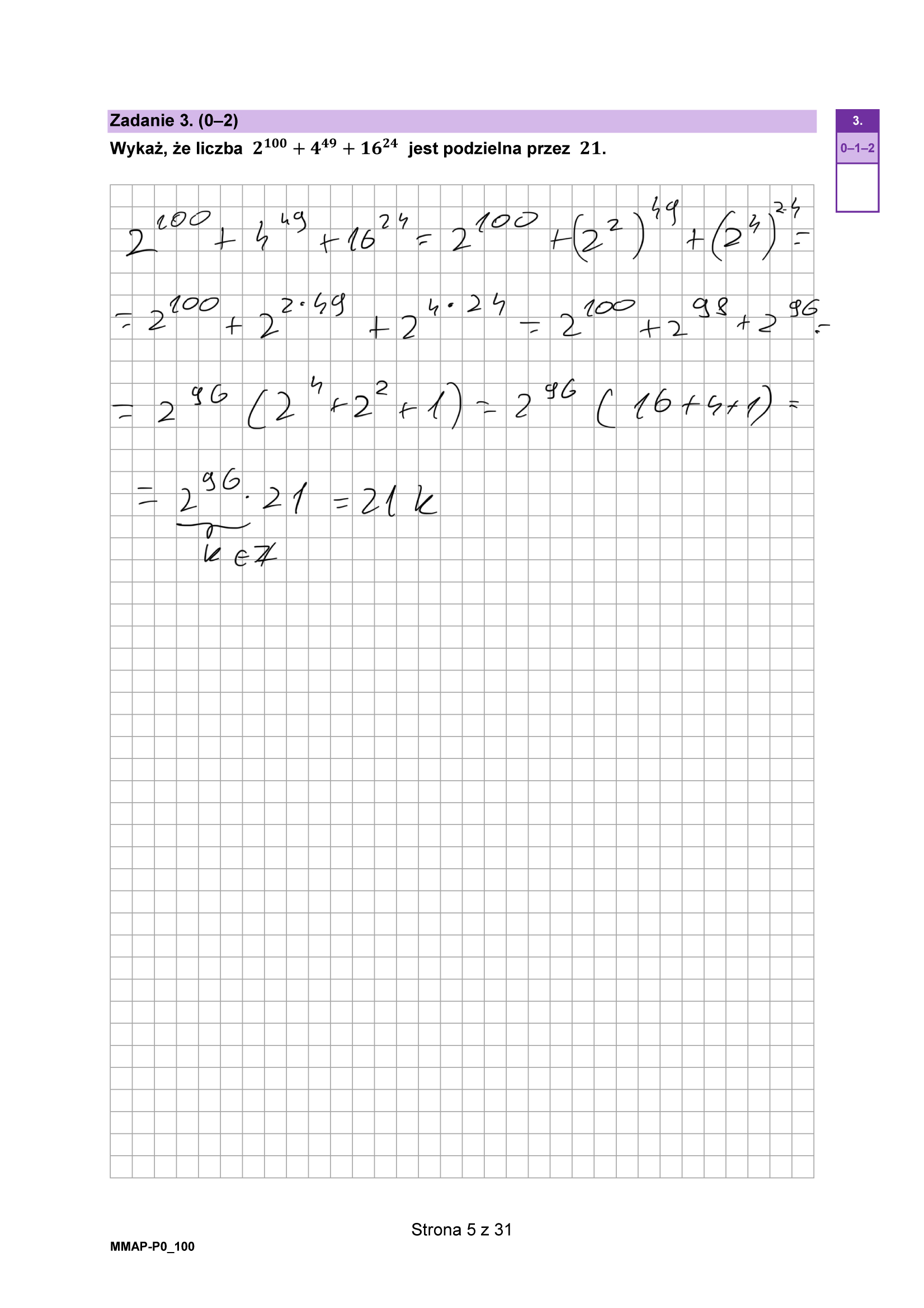
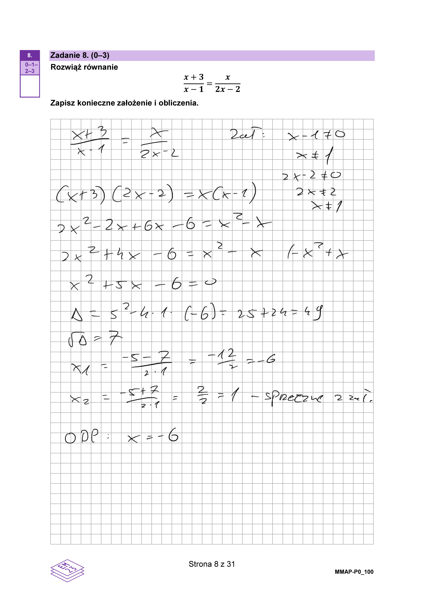
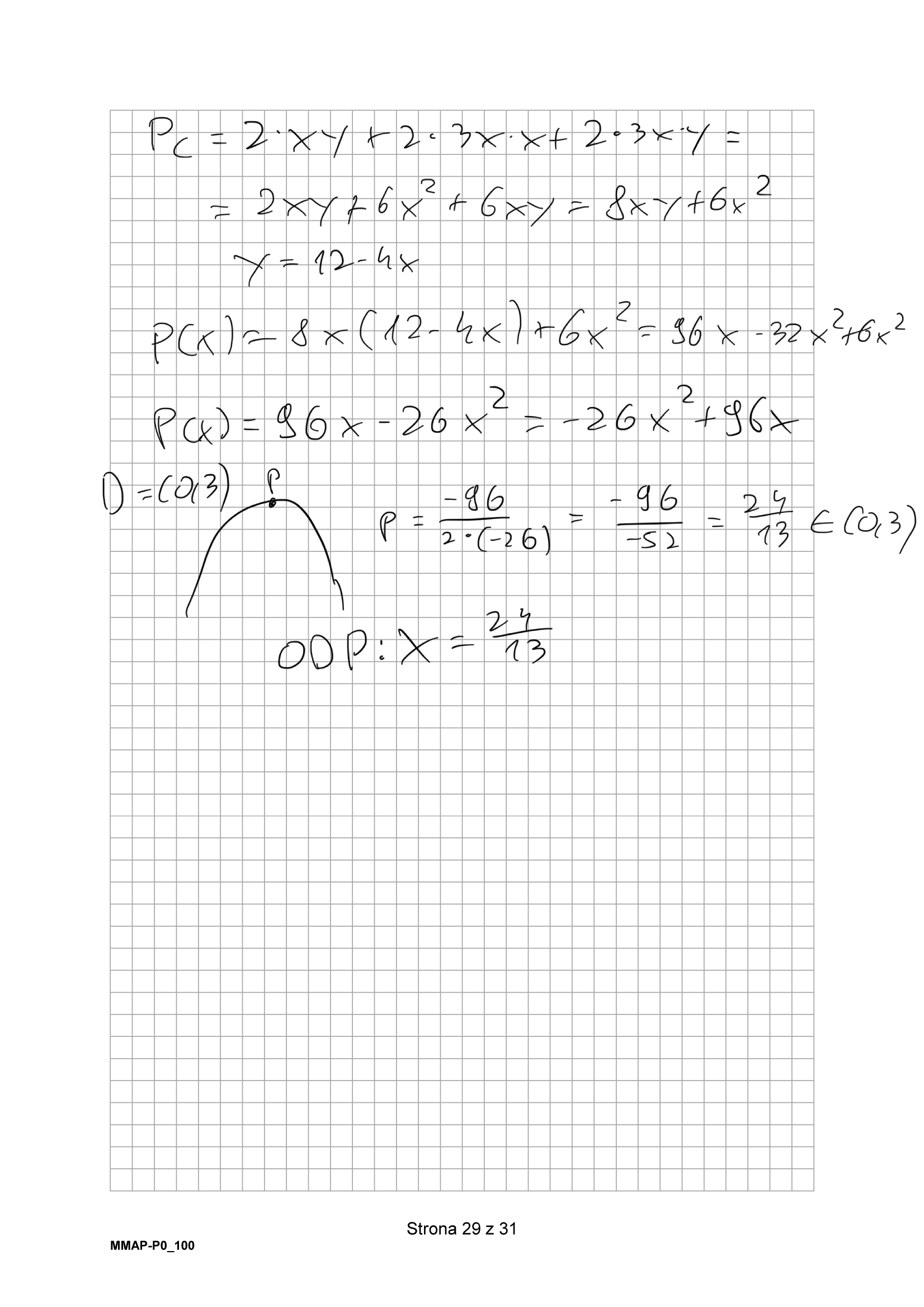
Poniżej znajdziesz próbny arkusz maturalny z matematyka na poziomie podstawowym z roku 2024. Odpowiedzi zostały naniesione na karty arkusza.



























Możesz również pobrać arkusz CKE bez rozwiązań w formacie pdf i poćwiczyć przed egzaminem maturalnym. Przycisk do pobrania arkusza znajduje się poniżej.