Zapoznaj się z arkuszem maturalnym z matematyki 2024. Znalazły się w nim zadania z prawie wszystkich działów z podstawy programowej. Arkusz z rozwiązaniami na poziomie rozszerzonym pozwoli ci poznać formy zadań oraz właściwe odpowiedzi.
Matura z matematyki na poziomie rozszerzonym odbyła się 15 maja 2024 r. fot. Redakcja Interia
Spis treści:
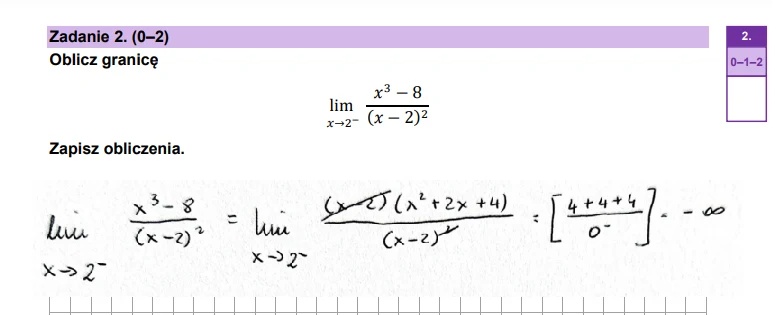
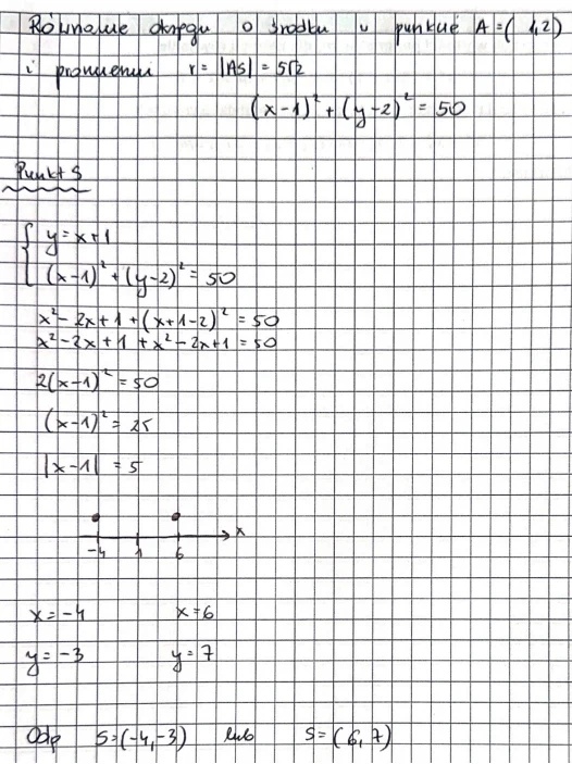
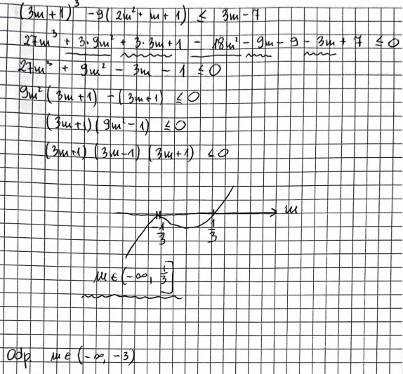
Poniżej znajdziesz próbny arkusz maturalny z matematyka na poziomie rozszerzonym roku 2024. Odpowiedzi zostały naniesione na karty arkusza.



















Możesz również pobrać arkusz CKE bez rozwiązań w formacie pdf i sprawdzić swoją wiedzę przed egzaminem maturalnym. Przycisk do pobrania arkusza znajduje się poniżej.