Wielki Wybuch (ang. Big Bang) jest to występujący w teoretycznych modelach ewolucji Wszechświata gwałtowny początek obserwowanej do dzisiaj ekspansji Kosmosu. Przez długi czas naukowcy nie posiadali wystarczających dowodów na to, że Wielki Wybuch faktycznie miał miejsce. Dziś jest niemal pewnie, że cała materia znanego nam świata była niegdyś, około 15 miliardów lat temu, skupiona do niewyobrażalnie małych rozmiarów oraz ogromnej gęstości i temperatury. Dowodem na taki scenariusz powstania Wszechświata jest odkryte w XX wieku mikrofalowe promieniowanie tła (albo termiczne promieniowanie ciała doskonale czarnego) - odległe echo emisji promieniowania, jakie zostało uwolnione podczas Wielkiego Wybuchu materii i energii.
- Historia
Jeżeli przyjmiemy, że Big Bang miał w pewnym momencie miejsce, musimy także założyć, że Wszechświat nie istnieje nieskończenie długo, a zatem nie jest wieczny. Starożytni (m.in. Arystoteles, filozof grecki, i jego uczeń, twórca pierwszej w historii teorii kosmologicznej) wierzyli, że Kosmos istniał od zawsze i jest niezmienny, co było zgodne z ich ogólną filozofią przyrody. Kościół katolicki z kolei przychylał się do opinii, że Wszechświat został jednorazowo stworzony w akcie boskiej kreacji (odpowiadało to naturalnie ich poglądom religijnym.) To drugie przekonanie przetrwało przez wiele stuleci i było nie tylko trudne do wykorzenienia, ale i nie do przyjęcia przez wielu naukowców, m.in. samego Newtona i Einsteina. Mimo że dziś mamy już bezsprzeczne dowody na czasowa organiczność Kosmosu, nawet wśród naukowców nadal spotykani są ludzie wierzący w stan stacjonarny Wszechświata oraz kreacjonizm materii (samoistne tworzenie się materii z nicości w całej rozciągłości przestrzeni.)
Ewoluujące na przestrzeni epok teorie kosmologiczne można podzielić na kilkanaście okresów w dziejach człowieka:
- Starożytni. W Starożytności wierzono, że Ziemia jest ośrodkiem Wszechświata, a wszystkie ciała krążą wokół niej po orbitach kołowych. Było to zgodne z ówczesnymi obserwacjami. Arystoteles był przekonany, że orbity są okręgami, bowiem koło jest figurą najprostszą a zarazem najdoskonalszą. Wierzył w nieco mistyczny sposób w lad i harmonię we Wszechświecie, zatem idealne orbity, po których planety i gwiazdy okrążały centrum - Ziemię 0 były zgodne z jego filozofią. Powszechna była wiara w wyróżnione miejsce Ziemi, jako planety ludzi, w Kosmosie. Inny filozof, Klaudiusz Ptolemeusz, podzielał poglądy Arystotelesa i po jego śmierci rozwinął jego idee w pełen model kosmologiczny. Przy jego konstruowaniu korzystał także z danych zebranych przez wybitnego astronoma starożytnego, Hipparcha (190-125 p.n.e.) W teorii geocentrycznej Ptolemeusza Ziemia znajdowała się w centrum świata i była nieruchoma. Otaczały ją sfery podtrzymujące kołowe orbity Słońca, Księżyca oraz sześciu znanych wówczas planet (do Saturna włącznie.) Dalej znajdowała się sfera gwiazd stałych, dokonująca obroty wraz z przyczepionymi do niej gwiazdami. Model ten musiał także brać pod uwagę odkryte przez Hipparcha nieregularności ruchów orbitalnych ciał niebieskich. Nikt nie wpadł jeszcze wówczas na pomysł, że Ziemia nie musi znajdować się w centrum Układu Słonecznego, więc usiłowano wyjaśnić te odchylenia ruchu poprzez wprowadzenie epicykli i deferentów. Wyjaśniały one obserwowane ruchy planet nakładaniem się na siebie kilku ruchów kołowych w taki sposób, że punkt centralny koła pierwszego porusza się kołowo po okręgu drugim. W zasadzie, przy założeniu, że kół takich jest wiele, obracają się w jednym kierunku i wzajemnie nakładają się one na siebie, można uzyskać rozmaite tory ruchów złożonych, które można następnie utożsamić z obserwowanymi trajektoriami planet, Słońca i Księżyca. W takim systemie orbitę większą nazywane jest zwykle deferentem, a krążące po niej koło mniejsze nosi nazwę epicyklu. W systemie geocentrycznym ziemia jest nieruchoma i położona jest w centrum deferentu. Orbity planet okrążających Ziemię to obwody epicykli. Środki planet epicyklowych poruszają się ruchem postępowym jednostajnym po deferencie. Większy problem stanowiły orbity: słoneczna i księżycowa. Wykazywały one znaczne nierówności i odbiegały od modelu deferentów i epicykli. Model nie pasował do nich i w rezultacie Hipparch wysunął przypuszczenie, że Słońce i Księżyc obiegają Ziemie po tzw. ekscentryku - kole, którego centrum nie pokrywa się ze środkiem Ziemi. Starożytni znali także okres obrotu Ziemi wokół własnej osi, jednak Ptolemeusz nie chciał uznać tego faktu obserwacyjnego. Argumentował, że przy niezerowym ruchu wirowym Ziemi żadne obiekty na jej powierzchni nie mogłyby poruszać się w kierunku wschodnim, bo ruch Ziemi wyprzedzałby te ciała. Pod względem bliskości Ziemi pierwszą orbitę stanowiła orbita Księżyca, dalej znajdowały się kolejno: Merkury, Wenus, Słońce (orbitujące bez epicyklu), Mars, Jowisz, Saturn. System ten był bardzo niepełny. Opisano go tutaj w przybliżeniu> Naprawdę każda planeta poruszała się nie tyle po swoim epicyklu, co po pewnym zbiorze epicykli biegnących po deferentach przemieszczonych w stosunku do Ziemi. Ptolemeusz próbował też liczne rozbieżności teorii z obserwacjami wyjaśnić innymi sposobami, m.in. uznając, że rozbieżności są skutkiem błędów pomiarowych lub przyjęcia złych liczb stałych w teorii, poprzez wprowadzenie do modelu kolejnego typu krzywych zakreślanych przez ciała niebieskie - tzw. ekwantów.
- W Średniowieczu i późniejszych epokach rozwój koncepcji kosmologicznych został dość skutecznie zahamowany przez Państwo Kościelne. Kościołowi bardzo odpowiadała Teoria Geocentryczna Ptolemeusza - nie dość, że tłumaczyła zjawiska w przybliżeniu dobrze, to jeszcze stawiała Ziemie w centrum Wszechświata jako planetę wybraną (tzw. Boski Podnóżek.) z kolei istnienie sfery gwiazd stałych oraz fakt, że nie wiedziano dokładnie, co mogłoby znajdować się poza ta sferę, oznaczało, że we Wszechświecie jest wystarczająco wiele miejsca na piekło i niebo. Bywały także przypadki zaprzeczania udowodnionym w Starożytności twierdzeniom, jak np. zanegowanie kulistości bryły Ziemi przez Luciusa Coeciliusa Firmianus Lactantiusa (Laktancjusza). Panowały opinie, że Ziemia jest plaska i podtrzymywana przez olbrzymie żółwie, lub, dla odmiany, skrzynie czy postumenty. Nadal wierzono, że gwiazdy są wieczne i niezmiennie. Wkrótce zaprzeczyły temu obserwacje wybuchów tzw. supernowych (gwiazd nagle, gwałtownie zwiększających swa jasność), które dowiodły, że także obiekty sfery gwiazd podlegają ruchom i ewolucji czasowej. Powrót do zdobyczy filozofii i nauki starożytnej nastąpił jednak dopiero w wieku XII. Szczególnie przyczynili się do tego filozof Tomasz z Akwinu i jego mistrz, Albert Wielki. W dużej mierze dzięki nim Kościół postanowił odrzucić podział Kosmosu na dwie strefy (Ziemię i sferę niebieską). Nadal jednak uznawano powszechnie model epicykli i deferentów Ptolemeusza. Przełom nastąpił dopiero pod koniec wieków średnich i na początku epoki Odrodzenia. Duży wkład miała tu nauka arabska, która w swych szczytowych osiągnięciach mogłaby w krótkim czasie doprowadzić do zaproponowania teorii heliocentrycznej (Ibn asz-Szatiraz Damaszku). Także w Europie coraz częściej zaczęto rozważać słuszność teorii Ptolemeusza, widać było coraz wyraźniej jej uproszczenia i niedoskonałości. Szczególny wkład w wytykaniu wad modelu geocentrycznego mieli: astronom z Wiednia Georg Peurbarch oraz Johannes Müller. Ukoronowaniem tych i podobnych badań było znane wszystkim odkrycie księdza - astronoma pochodzenia polsko - niemieckiego, Mikołaja Kopernika, żyjącego w latach (1473-1543). Był to faktycznie przewrót na miarę epoki, choć, jak zasygnalizowano wcześniej, nie należy zapominać, że inni współcześni Kopernika wysuwali względem teorii geocentrycznej podobne zarzuty. Według teorii heliocentrycznej Kopernika to Słońce, a nie Ziemia, położone jest w środku całego Kosmosu (co, jak dziś wiemy, nie jest prawdą.) W modelu tym wszystkie planety, także Ziemia, okrążają Słońce, które ma większa od nich masę. Ziemia i inne planety mogą przy tym wykonywać ruch wirowy wokół osi przechodzącej przez środek globu. Kopernik ponadto zdawał sobie sprawę, że oś ziemska nie jest nieruchoma w przestrzeni i z pewnym okresem zatacza na orbicie słonecznej pewien okrąg, co z kolei pociąga za sobą zmiany w położeniu tzw. biegunów niebieskich oraz zmianę położenia punktów równonocny. Z dawnej teorii geocentrycznej Ptolemeusza / Hipparcha / Arystotelesa Kopernik pozostawił jedynie niezmieniony kołowy kształt orbit planetarnych. Nie uniknął przy tym wprowadzenia poprawek do orbit kołowych (swego rodzaju epicykli) celem wytłumaczenia rzeczywistych, obserwacji planet, będących, jak się później okazało, w rzeczywistości elipsami.
- Na pomysł, że orbity nie muszą koniecznie być kołowe, wpadł słynny astronom Jan Kepler (1571-1630). Formułując założenia nowej teorii ruchu planet korzystał on intensywnie z danych obserwacyjnych zebranych wcześniej przez kontrowersyjnego duńskiego naukowca, Tycha Brahego (1546-1601), astronoma, który zaobserwował jedną z pierwszych gwiazd supernowych. Brahe był zainteresowany teorią kopernikańską, ale i zauważał jej braki. Kepler posunął się o krok dalej. Genialność jego teorii polega właściwie na tym, że odważył się zaproponować orbity nie kołowe, ale wydłużone (elipsa jest w rzeczywistości po prostu wydłużonym w jednym kierunku okręgiem.) Według pierwszego z Praw Ruchu Keplera orbity są mniej lub bardziej wydłużonymi elipsami, przy czym Słońce zawsze znajduje się w jednym ze szczególnych punktów geometrycznym elipsy - w tzw. ognisku.) Drugie Prawo Keplera głosi, że planeta porusza się po orbicie ruchem niejednostajnym. Prędkość połowa planety jest stała - promień wodzący ciała zakreśla w równych odstępach czasu równe pola. Sama prędkość ruchu jest jednak zmienna: gdy planeta jest maksymalnie zbliżona do Słońca, jest największa, a w punkcie najwyższego oddalenia - najmniejsza. Istnieje jeszcze Trzecie Prawo Keplera: wyraża ono matematycznie równość wzajemnych stosunków pomiędzy półosi orbit planet a okresami ich obiegów wokół Słońca. Im dalej krąży planeta, tym więcej czasu potrzebuje na wykonanie jednego, pełnego obiegu orbity.
- Największym być może odkryciem naukowym w dziedzinie fizyki jest Teoria Powszechnego Ciążenia Newtona (pierwsza teoria grawitacji.) Teoria ta była w stanie nie tylko opisać, jak planety poruszają się w Układzie Słonecznym, ale też wyjaśnić, dlaczego tory planet są elipsami. Isaac Newton, Anglik, żył w latach (1642-1727.) Jego najważniejszym dokonaniem jest właśnie Prawo Powszechnego Ciążenia, spisane w roku 1686 i głoszące, że siła działająca między każdymi dwoma punktami materialnymi o masach m1 i m2 znajdującymi się w odległości r jest siłą przyciągającą, skierowaną wzdłuż prostej łączącej te punkty. Prawo to zostało sformułowane w odniesieniu do Ziemi i Księżyca, ale, jak to już było powiedziane, słuszne jest dla dowolnych ciał.
- Krótko po przewrocie kopernikańskim i publikacji dzieł Newtona zaczęto się zastanawiać, czy Słońce faktycznie stanowi środek Wszechświata. Wątpliwościom sprzyjały tu: obserwacje supernowych (obiektów zmiennych świadczących o zmienności sfery gwiazd), wynalazek teleskopu i lunety (Galileo Galilei 1609), która pozwoliła na obserwację poszczególnych składników Naszej Galaktyki - gwiazd takich jak Słońce, oraz teoretyczne implikacje matematycznej formy teorii grawitacji, sugerującej, że Wszechświat musi być nieskończony, by wszystkie masywne ciała nie spadały na centrum Kosmosu. Zrozumiano wkrótce, że Droga Mleczna jest ogromnym skupiskiem gwiazd, a Słońce jest po prostu jedną z typowych, niewiele wyróżniających się gwiazd, okrążających wspólne centrum masy. Przyjęte zostało założenie, że Słońce niewiele różni się od tysięcy świetlnych punkcików widocznych na nocnym niebie. Nie tylko Ziemia nie znajdowała się już w centrum, ale także i Słońce zdegradowane zostało do przeciętnego obiektu położonego na peryferiach Galaktyki. Jednocześnie doskonalone były teleskopy optyczne, dzięki czemu możliwe było odkrycie czterech największych, tzw. galileuszowych, satelitów Jowisza, faz Merkurego i Wenus, pierścieni planet zewnętrznych. Szczególnie istotne były satelity Jowisza, stanowiące jak gdyby miniaturowy układ planetarny i świadczące o tym, że ciała te (księżyce) okrążają Jowisza, a więc nie wszystkie ruchy ciał w Układzie Słonecznym wyjaśnić można skomplikowanymi ruchami ciał po epicyklach i deferentach wokół Ziemi. Odkryto też szybko kolejne planety naszego układu: Urana (Frederick William Herschel, 1781), Neptuna (Johann Gottfried Galle, 1846) oraz Plutona (Clyde Tombaugh, 1930.) Obserwacje Herschela dowiodły, że gwiazdy są bardzo odległe od Słońca oraz że wykazują tzw. ruchy własne (poruszają się względem środka Naszej Galaktyki.) Zaobserwował także układy podwójne i wielokrotne gwiazd.
- W roku 1932 (wiek XX, znano już wówczas elektrodynamikę klasyczna i stosowano fale radiowe w łączności) fizyk Karl Jansky zarejestrował pierwsze kosmiczne radioźródła - obiekty emitujące silne promieniowanie radiowe, dochodzące do Ziemi spoza Układu Słonecznego, a także i spoza Galaktyki. Ludzie szukali sposobu dokładniejszego zaobserwowania i analizy tych obiektów. Owocem tych poszukiwań było skonstruowanie w USA pierwszego radioteleskopu (anteny parabolicznej służącej do odbioru odległych źródeł promieniowania) - Grote Reber, 1939. Odtąd znaleziono coraz więcej podobnych ciał. Są one często niezwykle ciekawe z naukowego punktu widzenia Dobrym przykładem są pulsary - zdegenerowane gwiazdy emitujące pulsy światła radiowego na skutek obecności silnych pól magnetycznych w swej powłoce - oraz kwazary, tajemnicze odległe obiekty gwiazdo podobne charakteryzujące się znaczną zmiennością wysyłanych sygnałów.
- Za sprawą badań astronoma Edwina Hubble'a (1924 rok) okazało się, że ponad wszelka wątpliwość istnieją we Wszechświecie inne niż Droga Mleczna galaktyki (mgławice.) Galaktyki rozmieszczone są dość równomiernie w przestrzeni. Jest to tzw., model świata wyspowego, w którym galaktyki stanowią wyspy materii w próżni. Ponieważ widma elektromagnetyczne odległych mgławic wykazywały niemal dokładnie te same cechy co widma gwiazd Drogi Mlecznej, Hubble uznał, że inne galaktyki są podobne budową do Naszej Galaktyki oraz że zawierają gwiazdy mniej więcej takie same jak Galaktyka. Analizując widma tych odległych galaktyk Hubble zauważył, że niemal we wszystkich przypadkach poszczególne prążki widmowe (linie zabronione i dozwolone przy przejściach atomowych w widmie) są przesunięte w tym samym kierunku, tj. w kierunku czerwonego końca widma (światła o dużej długości fali i niewielkiej energii i częstotliwości.) Oznacza to, że światło docierające do nad od bardzo odległych obiektów jest "przesunięte ku czerwieni" (ang. redshift.) Przesunięcie ku fioletowi (które nie jest obserwowane, za wyjątkiem kilku karłowatych, bliskich galaktyk związanych siłami grawitacyjnymi z Droga Mleczną i mogących lokalnie zbliżać się do niej) oznaczałoby, że galaktyki zbliżają się jedna do drugiej. Zamiast tego na większą skale obserwowana jest jednak ekspansja - rozszerzanie się Wszechświata - ucieczka galaktyk. Wszystkie galaktyki oddalają się od każdego punktu we Wszechświecie, ale w rzeczywistości jest to ekspansja przestrzeni Wszechświata, a nie samej materii. Co istotne, rozszerzanie się Kosmosu może się odbywać z prędkością nadświetlną - Teoria Względności zakłada bowiem jedynie, że żadne ciało ani promieniowanie we Wszechświecie nie może poruszać się szybciej niż światło, ale nie mówi nic na temat prędkości rozszerzania się Kosmosu jako całości. Alexander Friedmann, znany rosyjski uczony, twórca m.in. równań Friedmanna - wzorów opisujących zależność pomiędzy gęstością materii a tempem ekspansji przestrzeni, zaproponował model Wszechświata porównywalny do balonu pokrytego punktami, np. narysowanymi długopisem. W miarę nadmuchiwania cętkowanego balonu punkty te szybko oddalają się od siebie, każda od każdej, tak, że nie sposób określić punktu centralnego ekspansji.
- Po odkryciach Hubble'a oczekiwano, że ruchy galaktyk w przestrzeni będą mniej więcej przypadkowe, o rozkładzie równomiernym. Gdyby tak jednak było, tyle samo galaktyk powinno mieć przesunięcie ku czerwieni, co ku fioletowi. Ponieważ wszystkie widma wykazują redshift, galaktyki oddalają się. Hubble wykazał ponadto, że przesunięcie ku czerwieni jest w każdym przypadku mniej lub bardziej proporcjonalne do odległości galaktyki od obserwatora (im dalej jest galaktyka, tym większy ma redshift; przy czym odległość do danej galaktyki wyznacza się zwykle za pomocą świec standardowych, czyli obiektów o znanej jasności, które możemy zaobserwować także w innych mgławicach, a następnie za pomocą wzoru Pogsona wyznaczyć ich odległość, znając typowa jasność dla obiektu.) Wszystko to musiało oczywiście oznaczać, że Wszechświat nie jest statyczny. Było to dla wielu współczesnych szokujące, bowiem od stuleci milcząco zakładano, że Kosmos jest niezmienny. Było to zresztą implikowane przez filozofię i religię, i było zgodne z ludzką intuicją. Sam Newton nie mógł pogodzić się z możliwością zmienności Wszechświata oraz z istnieniem jego czasowego początku. Wielu myślicieli i naukowców zdawało sobie sprawę, że przyjęcie niestatecznego Kosmosu znacznie upraszczałoby paradoksy związane z grawitacją i rozkładem materii. Zgodnie z teorią Newtona każde dwa ciała, także gwiazdy, powinny przyciągać się wzajemnie siła grawitacji. Oznacza to, ze gwiazdy we Wszechświecie powinny podlegać tej sile, a więc poruszać się; nie mogą być w stanie spoczynku. Ponieważ w tamtych czasach idea świata niestatecznego była nie do przyjęcia, Newton i inni naukowcy starali się na rozmaite sposoby obejść ten problem. Inny paradoks obecnego modelu pokazał niemiecki astronom Heinrich Olbers (1758-1840), wskazując, że w nieskończonym i równomiernie wypełnionym gwiazdami Wszechświecie światło dobiegające do ziemskiego obserwatora od tych gwiazd rozłożonych jednorodnie wokół Ziemi powinno być tak duże, że nocą niebo miałoby być tak jasne jak w dzień. Sam Einstein (1879-1955), jeden z najwybitniejszych fizyków wszechczasów, twórca Teorii Względności, miał duży problem z zaakceptowanie niestatyczności Wszechświata, mimo że taki obraz Kosmosu wynikał jasno z jego własnych równań! Einstein specjalnie, sztucznie tak zmodyfikował wzory, że dawały one w efekcie Wszechświat trwały i statyczny. Osiągnął to poprzez wprowadzenie Stałej Kosmologicznej - nieznanej siły, nie odpowiadającej żadnemu konkretnemu, fundamentalnemu oddziaływaniu. Gdy zdobyto wreszcie dowody na niestabilność Kosmosu, Einstein wycofał się z tej idei, nazywając ją największa pomyłką swego życia.
- Wszystkie te nowożytne odkrycia wskazywało w coraz większym stopniu, że Ziemia bynajmniej nie zajmuje pewnej szczególnej pozycji pośród gwiazd i galaktyk. Niewielu ludzi umiało pogodzić się z tą ideą od razu. Nadal istniało wielu gorliwych wyznawców geocentryzmu. Z drugiej strony już tylko krok dzielił ludzkość od idei Wielkiego Wybuchu. Kilku naukowców, wśród których najprawdopodobniej przodowali Belgijczyk Georges Lemaître (1894-1966) oraz Alexander Friedmann, stwierdzili, iż ucieczka galaktyk pociąga za sobą konieczność istnienia pewnego początkowego stanu kosmosu, z którego znany nam Wszechświat wystartował wiele lat temu, i który charakteryzował się upakowaniem całej obecnej materii i energii świata w punktowym obszarze o nieskończenie wielkiej gęstości i temperaturze. Wg. Lemaître'a w stanie tym Wszechświat był kilkanaście miliardów lat temu. Początkowy, gęsty stan miałby według tej teorii w pewnym momencie (pewnych warunkach ?) eksplodować w nowych wymiarach, dając tym samym początek stanu dziś obserwowanego (rozszerzanie się, będące kontynuacją takiego pierwotnego wybuchu.) Teoria ta nazwana została koncepcją Wielkiego Wybuchu. Jest do dziś powszechnie uznawanym elementem w standardowym modelu opisu Kosmosu.
- Według wspomnianych już równań Friedmanna możliwe są trzy główne scenariusze przyszłej ewolucji Wszechświata. Jeden z nich zakłada nieskończona ekspansję przestrzeni, aż do całkowitej rozproszenia się materii i energii i w rezultacie śmierci cieplnej Kosmosu. Odpowiada mu dodatnia krzywizna przestrzeni w Ogólnej Teorii Względności oraz geometria nieeuklidesowa przestrzeni. Drugi model także opisuje ekspansję, ale ekspansję asymptotyczną - według niego rozszerzanie się Wszechświata zostanie w pewnym momencie wyhamowane przez siły grawitacyjne działające pomiędzy masami (grupami i gromadami galaktyk.) Oznacza to również zerowa krzywiznę i przestrzeń euklidesową. Zaistnienie fizyczne tego modelu matematycznego wymagałoby ściśle dobranych określonych warunków początkowych! Istnieje jeszcze trzeci model - tzw. Wszechświat zamknięty; występuje w nim krzywizna ujemna przestrzeni. Konsekwencją tego byłoby całkowite wyhamowanie ekspansji oraz pojawienie się sił odwrotnych do niej, tj. kontrakcji - cala materia Wszechświata dążyłaby zatem do ponownego skupienia się, opadnięcia na bardzo mały obszar przestrzeni i zebranie się w stan o dużej gęstości i temperaturze. Jest to tzw. wielkie kurczenie się Kosmosu. Po zakończeniu kontrakcji mógłby mieć miejsce ponowny Wielki Wybuch, cykl taki być może powtórzył się już kilkakrotnie w historii Wszechświata. Jednak nie ma sensu spekulować, jak wyglądał Wszechświat w cyklu poprzedzającym znany nam Kosmos, bowiem każda ponowna kontrakcja wymazuje z założenia cala informacje zawartą w ginącym Wszechświecie, a nowo powstający Wszechświat może charakteryzować się już zupełnie nowymi właściwościami.
- Opis fizyczny Wielkiego Wybuchu
Po zaakceptowaniu teorii Wielkiego Wybuchu wysiłki świata nauki zaczęły w naturalny sposób zmierzać do zbadania jego przyczyn, mechanizmów i scenariusza. Szczególnie interesujące wydawało się to, co działo się bezpośrednio w czasie wybuchu, jak i przed nim. To drugie pytanie w zasadzie pozbawione jest sensu, jeżeli założyć, że czas i przestrzeń powstały właśnie na skutek Wielkiego Wybuchu, zatem określanie wydarzeń w czasie poprzedzającym jego zaistnienie nie ma zbyt dużego sensu (byłby to zupełnie inny, niewspółmierny ze znanym nam czasem, wymiar.)
Początkowe teorie głosiły, że początkowy stan Wszechświata był gorący, bardzo gęsty oraz w przybliżeniu jednorodnie wypełniony promieniowaniem (fotonami) o dużych energiach termicznych. Pierwsze oszacowania (George Gamow, Robert Herman, Ralph Alpher) wskazywały, że temperatura wczesnego Kosmosu dla czasu jego życia równego kilku sekundom, wynosiła aż 10 miliardów stopni Kelwina. Na tej podstawie obliczono zresztą niedługo później, że do dziś ta wysoka temperatura promieniowania powinna istnieć we Wszechświecie pod postacią energii promienistej o temperaturze kilku stopni, a jej rozkład jest jednorodny lub wykazuje niewielkie fluktuacje. Ponieważ takie promieniowanie było możliwe do zarejestrowania, czyniono wysiłki w tym kierunku. Paradoksalnie, mikrofalowe promieniowanie tła - bo o nim tu mówimy - odkryli jednak niezbyt związani z fizyka teoretyczna technicy z USA, Arno Penzias i Robert Wilson, podczas testowania precyzyjnego odbiornika mikrofalowego. Antena ta, jak zauważyli zawsze, niezależnie od pory dnia i ukierunkowania, zdawała się odbierać jednorodny, cichy szum dochodzący spoza Ziemi. Źródła owego sygnału nie dało się określić - dochodziło najwyraźniej z całego obszaru nieba. Inni fizycy amerykańscy, Robert Dicke i James Peebles, zidentyfikowali wreszcie ten szum z teoretycznym promieniowaniem tła przewidzianym przez Friedmanna i innych. Kolejne testy dowiodły ponad wszelką wątpliwość, iż jest to faktycznie pozostałość po promieniowaniu gęstego, wczesnego Wszechświata. Możliwe stało się wkrótce ustalenie wieku Kosmosu na kilkanaście do dwudziestu miliardów lat. Teoria Wielkiego Wybuchu znalazła więc wreszcie swe obserwacyjne potwierdzenie. Pozostało jeszcze wyjaśnić, skąd wzięła się obserwowana dziś struktura Kosmosu, tj. grupy i gromady galaktyk. Tłumaczy się to istnieniem pewnych nieregularności w materii i promieniowaniu początkowego rozkładu Wszechświata. Wszechświat w początkach swego istnienia przeszedł prawdopodobnie fazę nagłego, szybkiego rozszerzania się (tzw. inflacja kosmiczna.) Wówczas niejednorodności pierwotne w dość krótkim czasie zdążyły powiększyć się i w efekcie zaowocować zbiorowiskami galaktyk.
Obecnie przyjmowany scenariusz Wielkiego Wybuchu oraz dalszej ewolucji Kosmosu, osiągnięty dzięki badaniom z wielu dziedzin astronomii i fizyki, jest następujący:
- Tzw. Osobliwość: wcześniej niż 10-43 sekundy (tzw., czas Plancka - najmniejsza dopuszczalna przez fizykę wartość interwału czasowego) cztery fundamentalne siły, oddziaływanie elektromagnetyczne, jądrowe silne, jądrowe słabe oraz grawitacyjne, zunifikowane są w jedno wspólne oddziaływanie. Nie było żadnych różnic pomiędzy wymiarem przestrzennym i czasowym, a materia i energia tworzyły nierozróżnialna całość. Taka materio - energia skupiona było w punkt lub nieskończenie małą objętość bliską punktowi geometrycznemu. Nagle (nie wiadomo dokładnie, za jaka przyczyną) "staje się" Wszechświat: "punkt" eksploduje. Wybuchowi temu nie towarzyszy jednak ani błysk kuli świetlnej, ani potężny grzmot, jako nie ma jeszcze ani światła, ani ośrodka, w jakim fale dźwiękowe mogłyby się rozprzestrzeniać. Wszechświat nie wybucha w gotowa, przygotowaną dla niego niezależnie czasoprzestrzeń, ale eksploduje dając tym samym początek owej czasoprzestrzeni.
- W czasie bliskim 10-43 sekundy grawitacja odszczepia się od reszty oddziaływań. Nieco później (10-36 sekundy) oddziela się silne oddziaływanie jądrowe, siła odpowiadająca m.in. za stabilność jądra atomowego. Temperatura w takim Wszechświecie, obliczona na podstawie energii cielnej cząstek w takich warunkach, wynosi ok. 1027 K. Mimo separacji oddziaływania silnego nie istniały jeszcze w tak wysokiej temperaturze stabilne jądra atomów - cala materia Kosmosu stanowiła pierwotną plazmę kwarkowo - gluonową, czyli dość chaotyczna mieszaninę rozmaitych cząstek elementarnych.
- Era inflacji (gwałtownego zwiększania rozmiarów Wszechświata) przypada mniej więcej na czas z zakresu 10-36 - 10-32 licząc od Wielkiego Wybuchu. W tym okresie Wszechświat powiększa się ok. 1020 razy. Teoria inflacyjna jest obecnie popularna, ponieważ wyjaśnia wiele pozornych paradoksów kosmologicznych, z którymi nie umiały sobie poradzić inne modele ewolucji Kosmosu.
- Czas rzędu 10-32 - 10-5 sekundy. Gdy inflacja dobiega końca, Kosmos jest pełen nie związanych cząstek elementarnych oraz promieniowania. Duże temperatury i gęstości nie pozwalają na tworzenie się atomów i oddzielenie fotonów od materii. Możliwe jest natomiast (pozwala na to pewien spadek temperatur) rozdzielenie się zunifikowanych oddziaływań elektrosłabych na siły jądrowe słabe oraz elektromagnetyczne.
- Czas 10-6 sekundy, temperatura Wszechświata to "zaledwie" 1013 K. Energia jest już na tyle mała, że kwarki łączą się w protony, neutrony i inne hadrony, ale wciąż za duża na uformowanie się trwałych atomów. Zgodnie z definicją od tego momentu istnieje już tzw. Model Standardowy Wielkiego Wybuchu.
- Czas 0,02 sekundy, energia rzędu 1 MeV, temperatura spada na tyle, że elektrony i ich antycząstki łączą się w pory elektron - pozyton, ulegając ciągłej, naprzemiennej anihilacji i kreacji. Przy takich warunkach protony i neutrony mogą ze sobą oddziaływać przez wymianę kwarku i przechodzić swobodnie z jednej cząstki w drugą. Obliczenia wykazują, że przy takich energiach na jeden barion (cząstkę materii) przypada statystycznie ok. 100 fotonów (cząstek energii promienistej.) Następuje ustalenie się stosunku fotonów do barionów, który odtąd jest stały.
- Czas 0,11 sekundy - temperatura Wszechświata wynosi ok. 1010K, gęstość to ok. 30*106 kg/m3. Wszystkie nie związane neutrony przechodzą poprzez wymianę kwarka w protony, których odtąd jest więcej.
- Czas 1,09 sekundy - temperatura rzędu 1010 K, średnia energia 860 KeV. Materia zaczyna być przepuszczalna dla pewnego rodzaju cząstek promieniowania, tzw. neutrin, ale nadal jest nieprzezroczysta dla światła i pól elektromagnetycznych.
- Czas 13,8 sekundy. Temperatura spada do 109 K, co oznacza, że możliwe jest formowanie się pierwszych, lekkich jąder atomowych, jak np. Hel 4 (rekombinacja). Nie są one jeszcze stałe. Energia tego etapu to ok. 260 MeV.
- Ok. 3 minuty od początku Wszechświata, temperatura jest rzędu 109K, energia wynosi kilkadziesiąt KeV i ciągle spada, przeważającymi cząstkami są neutrina i fotony, elektrony i pozytony w większości wymarły w procesie anihilacji, wciąż ma miejsce znaczna przewaga protonów nad neutronami ( procentowo: 86% protonów i 14% neutronów.
- Czas 3 minut i 46 sekund. Temperatura wynosi 0.9*109 K, energia jest bliska78 KeV. Jądro jednego z izotopów wodoru, deuteru, są trwałe. Neutrony na skutek reakcji jądrowych przechodzą w deuter a następnie w hel jądra helu 4. W szybkim czasie hel zaczyna stanowić ponad jedna czwartą całej materii Wszechświata. Ciekawostka jest, że gdyby rozszerzanie się Kosmosu było tylko trochę mniej gwałtowne, neutrony na tym etapie wymarłyby, a więc nie doszłoby do powstania jąder helu 4 i innych, bardziej skomplikowanych pierwiastków.
- W mniej więcej 30 minucie od Wielkiego Wybuchu przemiany jądrowe które doprowadziły do znanego nam rozkładu pierwiastków we Wszechświecie zakończyły się na skutek dalszego ochładzania i spadku energii, ekspansja fizyczna Wszechświata trwa dalej.
- W kilkaset tysięcy lat później temperatura Kosmosu spada tak bardzo (ok. 3000 K), że tworzą się stabilne atomy wodoru H i helu He. Po tym procesie nie występuje już na dużą skale materia w stanie zjonizowanym i przestrzeń po raz pierwszy w historii jest przezroczysta dla fotonów. Promieniowanie oddziela się do materii - mówiąc prościej, we Wszechświecie pojawia się światło.
- Promieniowanie reliktowe
Zgodnie z koncepcją Wielkiego Wybuchu oraz przewidywaniami Gamowa i jego współpracowników obecny Kosmos, na skutek pierwotnej wysokiej temperatury wczesnego Wszechświata, wypełniony jest mniej więcej równomiernie pozostałością po Big Bangu, czyli promieniowaniem mikrofalowym tła (ang. CMB.) Zjawisko to zostało najpierw przewidziane teoretycznie przez Gamowa (rok 1948), a dopiero później przypadkowo odkryte przez wspomnianych wcześniej Amerykanów, pracowników Bell Telephone (Murray Hill, USA), Penziasa i Wilsona. Ponieważ to odkrycie zostało wyjaśnione przez naukowców z uniwersytetu Priceton, Dicke i Wilkinsona, to oni właśnie powinni być uhonorowani Nagrodą Nobla za to istotne dla współczesnej kosmologii dokonanie. Z jakichś przyczyn jednak to Penzias i Wilson otrzymali Nagrodę Nobla za wykrycie CMB (rok 1978)
Kosmiczne mikrofalowe promieniowanie tła wynosi zaledwie 2.72 stopni Kelwina, co daje tylko dwa stopnie powyżej zera absolutnego w tej skali temperatur. Obserwuje się je jako tzw. mikrofalę (falę nieco krótszą niż fale radiowe, ale dłuższe niż światło widzialne.) Dochodzi równomiernie z każdego kierunku nieba, co w zasadzie świadczy o jego pochodzeniu - trudno sobie wyobrazić inne źródło promieniowania, które otaczałoby Ziemię z każdej strony. Z punktu widzenia badań najistotniejsze jest jednak to, że CMB powstało bardzo dawno temu, jeszcze przed narodzinami galaktyk i gwiazd, zatem badając jego parametry fizyczne uzyskujemy w pośredni sposób informacja o właściwościach bardzo wczesnego Kosmosu. Mikrofalowe promieniowania tła stygnie nadal w sposób ciągły; oznacza to przykładowo, że gdy Wszechświat był w przeszłości o polowe mniejszy CMB było dwa razy gorętsze. Rozważmy ponownie młody Kosmos nie mający jeszcze stabilnych jąder atomowych. W takim stanie fotony promieniowania mikrofalowego poruszały się podobnie jak światło usiłujące przebić się przez bardzo gęstą mgłę - Wszechświat nie był jeszcze wtedy wystarczająco przezroczysty. Z takim rozpraszaniem promieniowania związany jest pojęcie widma termalnego i tzw. temperatury ciała doskonale czarnego. Z teorii Wielkiego wybuchu wynika jasno, iż częstotliwość odpowiadająca promieniowaniu reliktowemu powinna odpowiadać identycznej relacji dla ciała doskonale czarnego. Okazało się, że tak dzieje się w rzeczywistości. Za zmierzenie dokładnych parametrów CMB odpowiedzialna jest sonda kosmiczna COBE (Cosmic Background Explorer.) Wykonane przez sondę pomiary cechują się bardzo niewielkim błędem, co świadczy o dużej zgodności obserwacji z przewidywaniami i jest wielkim sukcesem przewidywań teoretycznych.
Rezultaty badań wykonanych przez satelitę COBE. Zdjęcie przedstawia ukierunkowany rozkład temperatury Wszechświata dla różnych precyzji pomiaru fluktuacji CMB. Skośność punktów pomiarowych świadczy o wystąpieniu efektu Dopplera na skutek ruchu sondy względem tła kosmicznego.

- Geometria czasoprzestrzeni
Pierwszym człowiekiem, który podał dowód na to, że geometria Wszechświata niekoniecznie musi być płaska (euklidesowa), był niemiecki fizyk i matematyk Carl Friedrich Gauss. Jego zasługą było dostrzeżenie możliwości skonstruowania niesprzecznej geometrii odrzucającej tzw. piąty aksjomat Euklidesa o prostych równoległych nie przecinających się. Ci ciekawsze, sam Gauss bynajmniej nie łączył tych idei z rzeczywistością fizyczną, traktując je jako teorię całkowicie abstrakcyjną. Za właściwego twórcę geometrii nieeuklidesowych uważa się Janosa Bolyai, który jako pierwszy ogłosił prace w których podał przykłady takich geometrii. Bardzo ważne są także zasługi Georga Riemanna, Christofella oraz Ricciego, twórców geometrii różniczkowej i innych narzędzi stanowiących współcześnie matematyczny język opisu Ogólnej Teorii Względności Einsteina.
Przykładów geometrii nieeuklidesowych nie trzeba szukać daleko. Jest nim zwykła, zakrzywiona powierzchnia kuli albo sfery. Dowodem na to znane twierdzenia o trójkątach sferycznych, głoszące, że suma takich trójkątów na powierzchni sfery niebieskiej jest zawsze większa niż 180 stopni. Inny przykład to działanie zegarów atomowych w satelitach systemu GPS okrążających Ziemię. Zegary takie odczuwają działanie pola grawitacyjnego. Przykład zakrzywionej powierzchni kulistej odnosi się też do całego Wszechświata. Czasoprzestrzeń, czyli połączenie wymiarów czasowych i przestrzennych w jedna całość, jest w wyższym wymiarze zakrzywiona właśnie na podobieństwo dwuwymiarowej powierzchni kuli, zakrzywionej w wymiarze trzecim. Z faktu, że czas i przestrzeń formalnie są w Ogólnej Teorii Względności nie do rozdzielenia, wynika konieczność przedstawienia przeszłości oraz przyszłości jednocześnie w modelach OTW.
Ogólna Teoria Względności Einsteina dotyczy m.in. związków krzywizny czasoprzestrzeni naszego Wszechświata i gęstością energii i pędu w tym Wszechświecie. Dalej, w teorii tej zakrzywienie przestrzeni jest tożsame z grawitacją i nie do oddzielenia od niej w skutkach. Do dziś dwa najistotniejsze kwestie to pytanie, co w zasadzie określa daną geometrę świata, oraz jaką krzywizną charakteryzuje się geometria czasoprzestrzeni.
Fizyka współczesna ma przy tym problem z powiązaniem dokonań dwóch wielkich i potwierdzonych wielokrotnie teorii fizycznych: Ogólnej Teorii Względności i mechaniki kwantowej. Dlatego dla uproszczenia rozważa się tu tzw. klasyczne Równania Einsteina, nie uwzględniające skutków fizyki kwantowej. Równania Einsteina uwzględniają całą rozciągłość czasową, od narodzin Wszechświata aż do chwili obecnej, przy czym wydaje się, że formalnie, by je rozwiązać, należałoby znać wszystkie przeszłe zdarzenia co do jednego. Istnieje też jednak możliwość konstruowania modeli przybliżonych, pozwalająca obejść te zbyt wysokie wymagania. Po pierwsze, celem uzyskania sensownych rozwiązań można, a w pewnych przypadkach nawet należy, zapisać wymiary przestrzenne i czasowe osobno. Wówczas możliwy stanie się opis przestrzeni trójwymiarowej, zakrzywionej, wypełnionej masa i energią i zmiennej w czasie. Naukowcy zakładają przy tym, że istnieją aż trzy różne rodzaje energii odpowiedzialne za zakrzywienie czasoprzestrzeni: grawitacja związana z materią, energia promieniowania oraz tzw. energia próżni, najbardziej egzotyczna forma. Przy rozwiązywaniu równań Ogólnej Teorii Względności przestrzega się tez bezwzględnie zasady jednorodności i izotropowości. Głoszą one, że Wszechświat w przybliżeniu wygląda tak samo, niezależnie od kierunku na niebie, w jakim jest obserwowany. Konstruując modele kosmologiczne, przyjmuje się, że cała czasoprzestrzeń jest i jednorodna, i izotropowa. Korzystając z powyższych założeń oraz pewnych warunków dodatkowych możemy z równań OTW uzyskać problem zredukowany do równania prostszego, opisującego nie tylko geometrię, ale również sposób, w jaki wypełniona jest energią, oraz jej czasowa ewolucję.
- Kosmologia współczesna
Przyjęcie założenia o jednorodności i izotropowości przestrzeni implikuje zaakceptowanie tzw. Zasady Kopernikańskiej. Według niej Kosmos w dużych skalach jest przestrzennie identyczny, bez znaczenia, czy obserwujemy go za pomocą radioteleskopów, teleskopów optycznych, czy w dziedzinie mikrofal i wysokich energii. Oczywiście obserwuje się zagęszczenia takie jak galaktyki gromady galaktyk, ale takie zagęszczenia, uśrednione po dużych objętościach, dają dla dużych odległości przestrzeń jednolitą. Możemy w tym miejscu powrócić na chwilę do rozdziału na temat mikrofalowego promieniowania tła. Promieniowanie to jest nie tylko równomiernie rozłożone, ale i w dużym przybliżeniu jednolite (fluktuacje jego są w graniach przewidzianych przez teorię.) Zasadę Kopernikańską należy jednak odpowiednio pogodzić z rozszerzaniem się Wszechświata. Możliwe są takie modele kosmologiczne, które jednocześnie zachowują niestatyczność i jednorodność przestrzenną. Należy zatem w pierwszej kolejności rozdzielić w równaniach OTW wymiary czasowe od przestrzennych; przestrzeń stanie się wtedy jednorodna i izotropowa, a więc symetryczna. Jak wiadomo, symetria zagadnień fizycznych znacznie ułatwia ich rozwiązywanie.
Metryka, czyli wielkość definiująca odległość pomiędzy punktami w przestrzeni, może być zapisana jako:
ds2 = (dx1)2 + (dx2)2 + (dx3)2 + (dx4)2
Cztery współrzędne czasoprzestrzenne x1, x2, x3, x4=ict można traktować jako składowe wektora w czterowymiarowej (zespolonej) przestrzeni euklidesowej. Określa się na nich tzw. transformacje Lorentza - rodzaj obrotów w czasoprzestrzeni, zachowujących długość interwału wektorowego. Zamiast zespolonej przestrzeni euklidesowej można użyć czasoprzestrzeni rzeczywistej pseudoeuklidesowej, w której współrzędne zdefiniujemy jako x0 = ct, x1, x2, x3 , a interwał czasoprzestrzenny zapiszemy w postaci:
ds2 = (dx0)2 - (dx1)2 - (dx2)2 - (dx3)2
Czwórka współrzędnych czasoprzestrzennych x0, x1, x2, x3 tworzy czterowektor położenia w danym, inercjalnym układzie odniesienia. Gdy przechodzimy do innego inercjalnego układu składowe te transformują się przy pomocy tzw. macierzy Lorentza. Wszystkie układy odniesienia są równoprawne a podstawowe równania fizyki są niezmiennicze względem transformacji z jednego układu do drugiego. Jest to jeden z podstawowych postulatów Ogólnej Teorii Względności. Ponadto w OTW rozkład masy i energii determinuje geometrię czasoprzestrzeni, która z kolei określa ruch mas w czasoprzestrzeni. Ważne jest tutaj to wzajemne "sprzężenie" pomiędzy rozkładem masy-energii a geometrią. Jedno wpływa na drugie i odwrotnie, co stanowi elementarną różnicę pomiędzy podejściem OTW a klasycznym podejściem newtonowskim.
W teorii względności podstawowym obiektem matematycznym charakteryzującym geometryczne własności czasoprzestrzeni jest tzw. interwał czasoprzestrzenny opisujący różniczkową odległość pomiędzy dwoma punktami (zdarzeniami) w czasoprzestrzeni. W STW we współrzędnych kartezjańskich ma on znaną prostą postać, która ogólnie można zapisać jako sumę:
Gdzie współczynniki gij tworzą macierz:
Gdy czasoprzestrzeń jest pseudoeuklidesowa lecz wybierzemy w niej współrzędne krzywoliniowe (np. sferyczne) to macierz współczynników gij może mieć bardziej złożone wyrazy na przekątnej, jednak zawsze da się ją przetransformować do postaci jak powyżej, wracając do współrzędnych kartezjańskich. Jeżeli jednak
czasoprzestrzeń nie jest euklidesowa to macierz [gij] zawiera jakieś złożone wyrażenia (również pozadiagonalne) będące funkcjami współrzędnych czasoprzestrzennych i nie da się jej doprowadzić do postaci podstawowej żadną transformacją. Tak więc współczynniki gij zwane tensorem metrycznym zawierają podstawową informację o własnościach geometrycznych czasoprzestrzeni. Własności te na mocy zasady równoważności zależą od rozkładu masy. Ilościowo opisują to właśnie równania pola, które symbolicznie zapisuje się:
Gij = κTij
i,j = 0,1,2,3
Lewa strona(Gi,j) zawiera złożone funkcje składowych gij oraz ich pierwszych i drugich pochodnych. Prawa strona zaś (Tij) stanowi wielkość opisującą rozkład mas (tzw. tensor energii i pędu), będących źródłem pola grawitacyjnego. Lewa i prawa strona tych równań muszą być tensorami na mocy postulatu ogólnej kowariantności. Wynika z tego, że rozwiązywanie problemów w OTW sprowadza się do zadania rozkładu przestrzennego mas a następnie znalezienia równań pola grawitacyjnego. Ponieważ macierz [gij] (4 x 4) jest symetryczna (gij = gji) mamy więc 10 niezależnych składowych. Równania Einsteina to w najogólniejszym przypadku układ 10 równań różniczkowych (cząstkowych) drugiego rzędu, który rozwiązywać trzeba ze względu na niewiadome składniki gij. Jest to bardzo skomplikowany układ równań więc jego analityczne rozwiązania udało się znaleźć dla kilku najprostszych sytuacji. Jedną z nich jest opis statycznego pola grawitacyjnego wokół masy kulistej (tzw. rozwiązanie Schwarzschilda). W tym przypadku ze względu na symetrię sferyczną problemu istotna jest tylko zależność geometrii od współrzędnej radialnej r zaś z całego układu równań istotne pozostają tylko dwa z nich. Rozwiązanie to przewiduje m.in. istnienie czarnych dziur. Drugim przypadkiem rozwiązanym analitycznie jest sytuacja, gdy cała przestrzeń jest jednorodnie wypełniona materią o równej gęstości ρ. Tu również ze względu na dużą prostotę zagadnienia istotne pozostają dwa równania z całego układu. Są to podstawowe równania kosmologiczne opisujące geometrię czasoprzestrzeni wszechświata i jej ewolucję w czasie.
Dalsza ewolucja Wszechświata jest ponadto zależna od pewnego parametru k, związanego z gęstością materii - energii. Charakterystycznymi przypadkami są tutaj: k = -1, k = 0 i k = +1. Pierwszy przypadek opisuje Wszechświat o przestrzeni zakrzywionej ujemnie, jest to tak zwany Wszechświat otwarty, wiecznie rozszerzający się. Jego metryka jest metryką przestrzeni trójwymiarowej o ujemnej krzywiźnie, nazywanej najczęściej powierzchnią siodłową ze względu na kształt przypominający nieco siodło. Dla k = +1 Wszechświat z kolei jest zamknięty, oznacza to, że w przyszłości przejdzie z fazy ekspansji w fazę kontrakcji; odpowiada mu dodatnia krzywizna przestrzeni i obliczona metryka jest metryka powierzchni sfery w trzech wymiarach. Istnieje jeszcze możliwość pośrednia, czyli przestrzeń płaska. Dla niej krzywizna zanika całkowicie (k = 0), a Wszechświat może być opisany zwykłą, płaską metryką euklidesową.
Obliczając (przy pomocy znanych równań OTW, których ze względu na ich skomplikowanych charakter nie ma sensu w tym miejscu przytaczać) składowe tzw. tensora krzywizny Wszechświata (tensor jest uogólnionym na więcej składowych wektorem, czyli zbiorem wartości opisujących jakieś zjawisko lub wielkość) otrzymujemy rozmaite współczynniki określające krzywiznę danego modelu kosmologicznego oraz tzw. skalar krzywizny (skalar - wielkość opisana przez jedną wartość liczbową.) Ostatecznie dostaniemy związki pomiędzy geometrią a tensorem energii-pędu we Wszechświecie, przy założeniu, że materia i energia może być traktowana jako fizyczna ciecz doskonała. We wzorze na tensor energii - pędu występuje ciśnienie oraz tzw. gęstość energii Wszechświata. Tensor ten jest macierzą wymiaru 4x4, której każda składowa określa strumień czteropędu przez trójwymiarową hiperpowierzchnię przecinającą czterowymiarową przestrzeń fizyczną. Pełna informacja o Wszechświecie musi dodatkowo zawierać równanie stanu materii (zależność pomiędzy ciśnieniem a gęstością):
P = P(ε)
Tensor energii - pędy wyraża się wzorem:

Przy założeniu, że ciecz wypełniająca Wszechświat zachowuje się jak ciecz doskonała, można zapisać dla niej równanie stanu oraz zasadę zachowania energii całkowitej. Równanie stanu wyraża wzór:
p = wr (p - pęd, r - gęstość, w -stała)
Ostatecznie, po scałkowaniu wzorów, dostaje się zależność ekspotencjalną gęstości od parametru a. Gdzie a jest czynnikiem skali dla Wszechświata. Cieczami kosmologicznymi spełniającymi powyższe założenia są: promieniowanie i pył kosmiczny. Dla pyłu stała w jest równa zeru, przyjmuje się, że pył jest ośrodkiem bezkolizyjnym (bezzderzeniowym.) Istnieje możliwość, że w Kosmosie dominuje właśnie taka forma materii, tj. materii jest więcej niż promieniowania. W przypadku promieniowania opis fizyczny jest trudniejszy, ponieważ obejmuje różne formy energii promienistej, zarówno zwykłe promieniowanie elektromagnetyczne, jak i cząstki masywne (np. hadrony) poruszające się z prędkością relatywistyczną. Jeżeli we Wszechświecie promieniowanie dominuje nad materia pyłową, wówczas gęstość jego energii spada gwałtowniej niż dla przypadku dominacji materii. Nie wiadomo dokładnie, która forma cieczy relatywistycznej dominuje w rzeczywistym Wszechświecie, obserwacje świadczą jednak o tym, że prawdopodobnie jest to obecnie materia (we wczesnym Kosmosie było to natomiast promieniowanie.)
Pełne równania Einsteina ma postać następującą:

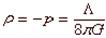
Parametr L oznacza tu tak zwaną stałą kosmologiczną, oznaczającą ujemną energie próżni i powodującą według Einsteina rozszerzanie się czasoprzestrzeni. Tę właśnie wielkość, sztucznie wprowadzoną, wybitny fizyk nazwał później "największą pomyłką swego życia." Stała kosmologiczna wiąże się z ciśnieniem cieczy wypełniającej Wszechświat poprzez zależność:

A zatem, jeżeli przyjąć, że gęstość energii jest niezależna od czynnika skali a, wartość w = -1.
Modyfikując nieco równanie Einsteina i zapisując je jako:

Po wielu przekształceniach, wymagających znajomości rachunku różniczkowego, dostaniemy parę rozwiązań:


Tak oto doszliśmy do słynnych równań Friedmanna. Opisują one relacje pomiędzy rozmiarami czasoprzestrzeni (czynnik skali a) a gęstością materii i energii. Metryka przestrzenna, spełniania przez powyższe równania, nosi nazwę metryki Friedmanna-Robertsona-Walkera. W metryce takiej prędkość ekspansji czasoprzestrzeni określa tzw. parametr Hubble'a:

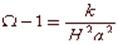
Parametr Hubble'a jest tożsamy ze stałą Hubble'a H0 dla danego momentu czasu licząc od początku ekspansji Wszechświata. Stała ta jest obecnie szacowana na ok. 65 - 70 km/s/Mpc.) Z punktu widzenia przewidywanych modeli Wszechświata istotniejszą rolę pełni tzw. krytyczna gęstość, zdefiniowana przez i wyrażająca się równościami:


Można zapisać to jeszcze inaczej:

Gęstość krytyczna jest oczywiście zmienna zależna od czasu jaki upłynął od wielkiego Wybuchu. Występująca z kolei we wzorze powyższym stała k decyduje o gęstości materii - energii, a zatem o krzywiźnie czasoprzestrzeni. Rozwiązanie rozpada się na trzy przypadki:
- wszechświat zamknięty k = 1, czasoprzestrzeń jest zamknięta, gęstość większa od krytycznej,
- wszechświat płaski k =0, czasoprzestrzeń płaska, gęstość równa krytycznej,
- wszechświat otwarty k = -1, czasoprzestrzeń jest otwarta, gęstość mniejsza od krytycznej.
W przypadku zerowania się stałej kosmologicznej, zakładając, że energia i ciśnienie cieszy wypełniającej Wszechświat są nieujemne, dostaniemy ujemną druga pochodną parametru a. Druga różniczka a jest z kolei dodatnia, czego obserwacyjnym dowodem jest rozszerzanie się Wszechświata.) Jednak tempo tego rozszerzania się zwalnia na skutek sił grawitacyjnych działających pomiędzy masami w ekspandującym Wszechświecie (gromadami galaktyk, etc.)
Wynikałoby z tego, że największe tempo ekspansji miał Wszechświat zaraz po Wielkim Wybuchu, kiedy wartość parametru była równa zeru (początkowa osobliwość dla a = 0.) Można na tej podstawie wnioskować, że każdy możliwy Kosmos z gęstością większa od zera ma na pewnym początkowym etapie swego istnienia osobliwość, w której klasyczne równania fizyki nie mogą poprawnie opisywać zachodzących tam procesów fizycznych (jest to pole do popisu dla specjalnego działu fizyki - mechaniki kwantowej.)
Także przyszłość naszego Wszechświata zależy od obecnej wartości parametru k. Dla Wszechświata otwartego, dla dodatniej gęstości energii, jedna strona opisującego go równania jest zawsze w sumie dodatnia, a zatem tempo ekspansji nie może być nigdy zerowe - Wszechświat rozszerza się bez końca. przypadku przestrzeni płaskiej, wypełnionej w dużej mierze próżnią, stała kosmologiczna również jest dodatnia, co wynika z równań. Gdy jednak stała kosmologiczna jest ujemna, równania są spełnione jedynie dla przypadku k = -1. Mamy zatem w rezultacie trzy różniące się geometrycznie rozwiązania, które jednak za pomocą różnych metryk opisują ten sam aspekt czasoprzestrzeni. Przestrzeń tą formalnie nazywa się przestrzenią de Sittera dla dodatniej stałej kosmologicznej lub, analogicznie, przestrzenią Anty-de-Sittera dla wartości ujemnej stałej.
Poniższy rysunek przedstawia możliwe scenariusze przyszłości Wszechświata: Wszechświat otwarty wiecznie ekspandujący (1), Wszechświat płaski rozszerzający się asymptotycznie (2), oraz Wszechświat zamknięty (3). Obecnie przyjmuje się, że czasoprzestrzeń jest plaska lub niewiele różni się od płaskiej (na podstawie obserwacji rozkładu gromad galaktyk w przestrzeni itp.)

- Inne teorie kosmologiczne
Po ogromnych sukcesach Ogólnej Teorii Względności i jednoczesnym uświadomieniu sobie trudności w pogodzeniu jej z mechaniką kwantową, opisującą poprawnie Wszechświat na poziomie mikroskopowym, zaczęto poszukiwać nowej Teorii Wszystkiego, będącej uogólnieniem teorii poprzednich i jednocześnie ich rozwinięciem. Do najtrafniejszych i cieszących się obecnie największa popularnością prób zmierzających w tym kierunku należą: Superstruny, Supergrawitacja, Teoria M. i inne. Przedstawiona tu została w uproszczeniu jedynie Teoria Superstrun, uznawana za najbardziej obiecującą. Teoria ta zdaje się pomagać w rozwikłaniu trudności w jednoczesnym spełnieniu Ogólnej Teorii Względności i mechaniki kwantowej, które jest konieczne do uzyskania poprawnego opisu bardzo wczesnego Wszechświata - Kosmosu małego, o cząstkach zachowujących się zgodnie z zasadami fizyki kwantowej, a jednocześnie podlegającym OTW. Najpierw należy się jednak dokładniej przyjrzeć obu teoriom. Teoria Względności jest opisem sił grawitacyjnych działających na obiekty kosmiczne, także w największych skalach. Nazywana jest często Teorią Grawitacji. Fizyka kwantowa to teoria służąca do matematycznego przedstawienia najmniejszych cząstek, odległości i interwałów czasu we Wszechświecie.
Teoria strun zakłada, że wszystkie cząstki na poziomie mikroskopowym są obiektami dwuwymiarowymi (rozciągłymi) i tworzą zamknięte struny o rozmiarach ok. 10-35 m (promieniu długości Plancka). Teoria ta powstała w latach sześćdziesiątych, gdy fizycy próbowali lepiej zrozumieć siły jądrowe wiążące ze sobą kwarki w większe cząstki. Mianowicie przedstawiono kwarki jako końce struny, co w prosty sposób tłumaczyło niemożliwość zaobserwowania pojedynczego, niezwiązanego kwarka. W latach osiemdziesiątych odkryto, że takie struny kwarków dają w rezultacie teorię supersymetryczną, która była w stanie powiązać kwarki i leptony z nieznanymi dotąd innymi cząstkami. Była to tzw. Teoria Superstrun - koncepcja, która zdawała się rozwiązywać problemy, z którymi nie radziła sobie dobrze klasyczna kwantowa teoria pola. Teoria strun pozwala pogodzić OTW z mechaniką kwantową dzięki modyfikacjom równań Teorii Względności przy bardzo małych odległościach rzędu długości Plancka. Zmiany te usuwają problemy z oboma teoriami odniesionymi do jednej sytuacji fizycznej (sytuacją taką może być typowa osobliwość, czyli centrum czarnej dziury, punkt, w którym wszystkie znane prawa fizyki załamują się, a równania OTW nie mogą opisać poprawnie panujących tam warunków.) Przy okazji struny wprowadzają jednak dość egzotyczne własności Wszechświata, jak kilka dodatkowych, przestrzennych wymiarów, które są niewidoczne jedynie dlatego, że obowiązują w bardzo małych skalach przestrzennych. Sama możliwość istnienia innych wymiarów niż znane nam cztery nie jest matematycznie sprzeczna. Pierwszą koncepcją wielowymiarowości przedstawiały prace teoretyczne T. Kaluza i O. Kleina na początku XX wieku. Wprowadzili oni niewielkie, niewidoczne, zwinięte jak gdyby wymiary, mogące istnieć tuż obok wymiarów "dużych", obserwowanych. Koncepcje te dość dobrze pasują do teorii strun. Obecnie przyjmuje się najczęściej, że teoria strun jest poprawna, o ile implikowane przez nią dodatkowe wymiary przestrzeni w liczbie sześciu są zwinięte w wymiary niewidoczne.
Osobną, lecz nie mniej intrygującą cechą teorii strun jest możliwość zmiany topologii przestrzeni. Topologia jest w matematyce zdefiniowana jako zbiór właściwości przestrzeni nie zmieniających się przy rozciąganiu, skręcaniu lub wyginaniu tej przestrzeni, o ile nie dochodzi do jej pęknięcia lub rozerwania. Topologia jest dla obiektów taka sama, jeżeli zachodzi ciągłe odwzorowanie jednego obiektu w drugi - mówiąc prościej, gdy za pomocą deformacji bez rozrywania można z jednego obiektu utworzyć inny. Jajo przykład można tu podać filiżankę i spodek (ta sama topologa) w odróżnieniu od filiżanki i kuli (różne topologie; nie ma ciągłego odwzorowania.) Według OTW czasoprzestrzeń Wszechświata ma zmienny kształt i krzywiznę; są one m.in. zależne od gęstości materii. Jednym ze skutków tej zmienności jest rozszerzanie się czasoprzestrzeni. Zgodnie z definicją topologia czasoprzestrzeni musi być jednak nie zmieniona. Można zapytać, co jeszcze zmienia topologię Kosmosu? Okazuje się, że zgodnie z mechaniką kwantową na małych dystansach obserwowane jest coś w rodzaju chaotycznych fluktuacji "kwantowej piany" - takie fluktuacje dla odległości makroskopowych są już jednak uśrednione i dają w przybliżeniu to, co rozumiemy przez obserwowany Wszechświat opisany przez Ogólną Teorię Względności. Taki model pozwalałby na zmienność topologii Wszechświata poprzez występowanie tych fluktuacji "piany". Według współczesnych badań teoretycznych w tej dziedzinie, teoria strun pozwala na pojawienie się procesów zmieniających topologię w sześciu małych, "zwiniętych' przestrzennych wymiarach Kosmosu. Przy przyjęciu postulatów teorii strun w przestrzeni sześciowymiarowej (i nie tylko w niej, także w innych) matematyka zezwala m.in. na modyfikację topologii w niewielkim obszarze przestrzeni, w wybranej specjalnie sferze o objętości dążącej do zera przy niezmienionych jej otoczeniu. Gdy objętość jest dokładnie równa zeru, mamy tzw. fizyczną osobliwość (np. centrum czarnej dziury.) Kula taka zostaje następnie zwiększana w kierunku prostopadłym do początkowego, dając w rezultacie nową topologię w nowej przestrzeni geometrycznej. W rzeczywistym Wszechświecie taka zmiana topologii nie jest możliwa bez drastycznej zmiany właściwości fizycznych Wszechświata, jeżeli za obowiązujący model przyjmiemy Standardowy Model Wielkiego Wybuchu i Ogólną Teorię Względności. Gdy jednak zastosujemy teorię strun, modyfikacja topologii jest na małych dystansach możliwa, i to bez "zniszczeń" całego modelu Wszechświata.
Warto jeszcze na koniec, podsumowując temat, wspomnień o idei tzw. rozmaitości zwierciadlanych. Używamy tu znów standardowej teorii strun z sześcioma zwiniętymi do małych rozmiarów wymiarami. Analizując taki model, fizycy otrzymali dość zdumiewający wynik: gdy mamy dwa różne, precyzyjnie dopasowane do siebie własności przestrzeni sześciowymiarowej, możemy mimo tych różnic dostać jednakowe rezultaty obliczeń, tzw. obrazy. Pociąga to za sobą wniosek, że dla strun istnieją dwa różne opisy z punktu widzenia matematyki, które na dodatek są wzajemnie symetryczne, na zasadzie lustrzanego odbicia. Przy tym pojedynczy obraz z tej dwójki obrazów da się jednoznacznie i identycznie opisać teorią. Jednakże cechy charakterystyczne zaistniałych dzięki operacji odbicia procesów fizycznych mogą się znacznie różnić w zależności od rozważanej przestrzeni geometrycznej. Pewne procesy są bardzo złożone w przestrzeni pierwotnej, a przy tym proste w przestrzeni odbitej lustrzanie względem pierwotnej. Wniosek jest oczywisty: w rozwiązaniach w ten sposób uproszczonych (poprzez rozmaitości zwierciadlane) możliwe są procesy fizyczne zachodzące wraz ze zmianą topologii danej przestrzeni geometrycznej.
